КАБЕЛСКИ ДИСТРИБУТИВНИ СИСТЕМИ - ЕЛЕМЕНТИ НА КОАКСИЈАЛНА КАБЕЛСКА ДИСТРИБУТИВНА МРЕЖА
I Z33T home page I страници на македонски јазик I
Миле Кокотов (2010)
Елементи на коаксијалната дистрибутивна мрежа од КДС
Коаксијалната дистрибутивната мрежа се состои повеќе елементи. Најопшто земено, тие се делат на пасивни и активни елементи. Активните елементи, се разликуваат од пасивните елементи по тоа што им е потребна електрична енергија за да работат. Пасивните елементи ги сочинуваат: коаксијалните кабли, кабелските коректори, атенуаторите, кабелските конектори, разделниците на сигнали, отцепниците и др. Активните елементи ги сочинуваат: засилувачите, модемите кај корисниците, дигиталните приемници кај корисниците и др.
Во понатамошниот текст се опишани најглавните составни елементи на дистрибутивната мрежа:
- Коаксијален кабел;
- Засилувачи;
- Атенуатори (ослабнувачи на сигналот);
- Коректори или еквилајзери (изедначувачи на нивото на сигналите);
- Напонски внесувачи (Power inserteri) и адаптери, односно трансформатори за напојување;
- Разделници (сплитери);
- Отцепници (тапови);
- Конектори.
КОАКСИЈАЛЕН КАБЕЛ
Коаксијалниот кабел се користи како медиум за пренос на сигналите во коаксијалната мрежа на КДС. Импедансата на кабелот кој се употребува во КДС треба да биде 75 оми.
Коаксијалните кабли имаат радијално симетрична (коаксијална) структура која се состои од внатрешен проводник изработен од бакар или побакарен челик, изолација од порозен материјал со мали губитоци (сунѓерест полиетилен), надворешен проводник во вид на цилиндар и надворешна изолација (полиетилен) која го штити кабелот од надворешните хемиски и физички влијанија.

Секој коаксијален кабел има поголемо или помало слабеење на сигналите што се пренесуваат низ него. Слабеењето на сигналите кои се пренесуваат преку коаксијалните кабли зависи од дијаметарот на кабелот, диелектричната конструкција на кабелот, температурата, како и од фреквенцијата на сигналите.
Со зголемување на дијаметарот на коаксијалниот кабел слабеењето се намалува и обратно.
Слабеењето на сигналите што се пренесуваат низ коаксијалниот кабел зависи и од температурата на кабелот. Колку температурата е повисока, толку слабеењето е поголемо и обратно. Слабеењето на коаксијалните кабли во зависност од температурата се менува за 1% на секој 5 степени целзиусови
.
Слабеењето на коаксијалниот кабел расте со порастот на фреквенцијата на сигналите кои се пренесуваат низ него. Ова значи дека сигналите со најниски фреквенции ќе бидат најмалку ослабени додека сигналите со највисоки фреквенции ќе бидат најмногу ослабени.
Доколку фреквенцијата на сигналот се зголеми за два пати, слабеењето ќе се зголеми за квадратен корен од два. Доколку фреквенцијата на сигналот се зголеми за три пати, слабеењето ќе се зголеми за корен од три итн. Значи, подолжното слабеење на коаксијалниот кабел е правопропорционално со квадратниот корен од фреквенцијата.
За полесно помнење може да се научи следново: ако фреквенцијата се зголеми за 4 пати, тогаш слабеењето по истиот кабел ќе се зголеми за 2 пати.
На пример, ако еден коаксијален кабел има слабеење од 20 dB на сигнал со фреквенција од 800 MHz, истиот тој кабел, при исти услови, ќе има слабеење од 10 dB на сигнал со фреквенција од 200 MHz и 5 dB слабеење на сигнал со фреквенција од 50 MHz.

Обично во каталозите на фирмите производители на коаксијални кабли се даваат табели за слабеењето на коаксијалниот кабел изразено во dB/100 метри на повеќе фреквенции. Ако сепак нема табела, а е познато слабеењето на некој коаксијален кабел при една фреквенција, тогаш слабеењето на кабелот со определена должина (l), при некоја друга фреквенција (f), може да се пресмета со следнава формула:
Каде што (αк,100) е слабеењето во dB по каталог за 100 метри должина, а (fk) фреквенција во MHz по каталог, на која се однесува ова слабеење.
Слабеењето (α) на коаксијалниот кабел по единица должина се мери во dB/m. Општо земено, слабеењето има три компоненти и тоа слабеење во внатрешниот проводик ( α1 ), слабеење во надворешниот проводник (α3 ) и, слабеење во изолацискиот материјал (α2 ) помеѓу нив, т.е:

Поставувањето на коаксијалниот кабел може да биде надземно или подземно. Надземното поставување се изведува со самоносечки коаксијален кабел. Самоносечкиот коаксијален кабел има челична сајла со чија помош кабелот се оптегнува помеѓу две бандери на пример. При надземното поставување треба да се води сметка за висината на кабелот која не смее да биде помала од 6 метри на делот што минува над коловозот.
За подземно поставување се употребува коаксијален кабел со специјална надворешна изолација од полиетилен кој е отпорен на условите што владеат под земјата. Уште подобро е кога кабелот се поставува во пластична цевка.
Низ коаксијалниот кабел не се пренесува електрична струја со висок напон. Така, и при евентуални оштетувања на кабелот не постои опасност за околината.
Во коаксијалната кабелска дистрибутивна мрежа се користи кабел со висок степен на RF оклопеност, така што не постои опасност од радио-фреквенциско зрачење во етерот. Висок степен на оклопеност на кабелот е потребна и за да се спречи можноста од навлегување на радио-фреквенциски зрачења во системот.

Оптичките кабли и оптичките елементи како составен дел од оптичката дистрибутивна мрежа немаат проблем со радио фреквенциското зрачење бидејќи за пренос на сигналите се користи светлина, односно ласерски зрак.
Коаксијалните кабли имаат многу поголемо слабеење на сигналите од каблите со оптички влакна. На пример коаксијалниот кабел QR540 има 50 до 190 пати поголемо слабеење од оптички кабел, а коаксијалниот кабел RG11 има 100 до 380 пати поголемо слабеење од оптичкиот кабел. (за фреквенција на пренесуваните канали од 50 до 860 MHz при температура од 20 степени целзиусови за коаксијалниот кабел, и при 1310 nm технологија за оптичкиот кабел).
При ракувањето со коаксијалниот кабел и при негова монтажа, треба да се внимава да не се свиткува кабелот под остар агол (мал радиус на свиткување) затоа што може трајно да се оштети структурата на кабелот и потоа не може да се исправи со повторното исправување. Притоа може да дојде до промена на карактеристичната импеданса на кабелот, а со тоа и до видливи пречки при преносот на сигналите (Појава на дупли слики предизвикано од појавата на стојни бранови поради помало прилагодување, односно висок VSWR. Исто така може да се јави нелинеарно слабеење на сигналите со различни фреквенции. Ваквото нелинеарно слабеење не може да се коригира со коректори, односно еквилајзери).

Минималниот радиус на свиткување на коаксијалните кабли обично изнесува 10 пати по надворешниот дијаметар на кабелот.
Така, минималниот радиус на свиткување на коаксијалниот кабел RG-11 изнесува 110 mm додека за RG-6 минималниот радиус на свиткување е 60 mm.
ЗАСИЛУВАЧИ
Еден од најбитните елементи во мрежата на КДС е засилувачот.
Основна задача на засилувачот е да изврши засилување на сигналите кои се ослабени минувајќи низ кабелот и останатите пасивни елементи во мрежата на дистрибутивниот систем.

Иако е неопходен составен елемент на секој кабелски дистрибутивен систем, употребата на засилувачи неминовно води до влошување на односот сигнал/шум, како и изобличување на сигналите. (јас велам, засилувачот е нужно зло). Затоа, од огромно значење за квалитетот на еден кабелски дистрибутивен систем е правилниот избор и употреба, односно нагодување на засилувачите.
Квалитетен засилувач во КДС треба да ги задоволи следните услови:
- Да биде широкопојасен;
- Да има мал сопствен шум;
- Да има голема излезна моќност;
- Да биде отпорен на интермодулација (IMD);
- Да биде отпорен на „вкрстена модулација“ (кросмодулација);
- Да биде линеарен;
- Да има голем динамички опсег;
- Да има определено оптимално засилување;
- Да овозможува засилување или премин на сигналите во обратна насока, во фреквенцискиот појас од 5 до 65 MHz (за потребите на интернет-upstream).
Во понатамошниот текст ќе ги разгледаме овие карактеристики поединечно.
Засилувачот треба да биде широкопојасен.
Во кабелската дистрибутивна мрежа се пренесуваат голем број RF сигнали кои се распоредени еден до друг, во фреквенциското подрачје од 85 до 860 MHz. Засилувачот треба да ги засили сите сигнали од овој фреквенциски опсег подеднакво (линеарно), и тоа без изобличувања.
Исто така, во обратна насока, од корисниците кон главната станица се пренесуваат RF сигнали во фреквенцискиот појас од 5 до 65 MHz, за потребите на појдовниот интернет сообраќај (upstream). Засилувачот треба да ги пренесе или засили и овие сигнали без изобличување.
Засилувачот треба да има мал сопствен шум
Шумниот број на засилувачот ни покажува за колку dB засилувачот ќе го намали односот сигнал/шум во системот. Колку е помал шумниот број на засилувачот, толку неговото влијание врз деградацијата на сигналот е помала. Шумниот број може да се најде во техничките карактеристики кои ги дава производителот.
Шумниот број, како важна карактеристика на засилувачот, особено влијае врз деградацијата на сигналот, кога јачината на сигналот се намали и се приближи до нивото на шумот.
Доколку во некој дел од системот, се случи јачината на сигналот да падне под одредена минимална граница, тогаш никакво понатамошно засилување на сигналот не може да го поправи квалитетот на сликата.
Со помош на засилувач можеме да го зголемиме нивото на сигналот, но заедно со корисниот сигнал ќе го зголемиме и шумот. Така квалитетот на сликата нема да се подобри бидејќи односот сигнал/шум е недоволен. Напротив, односот сигнал/шум по засилувачот ќе биде дури и полош бидејќи секој засилувач неминовно на веќе постоечкиот шум во сигналот, го додава и сопствениот шум.
За квалитетна слика на аналогните ТВ канали, освен потребното ниво на RF сигналот на влезот на ТВ приемникот кај корисникот, кое треба да биде oд 60 до 80 dBµV, потребно е нивото на корисниот сигнал да биде повисоко за 47 dB од нивото на шумот. Кај дигиталните канали, односот сигнал/шум може да биде помал, бидејќи дигиталниот пренос е помалку осетлив на шум.
Минувајќи низ кабелот и другите пасивни елементи на мрежата, нивото на сигналот постојано ослабнува. Засилувањето на сигналот е потребно да се изврши пред неговото ниво да падне под одредената минимална граница (минималното ниво треба да биде 70dBµV или повеќе, ако има повеќе засилувачи поставени во линија – каскадно поврзани засилувачи).
Мал шумен број многу полесно се постигнува кај теснопојасните засилувачи отколку кај широкопојасните. Во кабелската дистрибутивна мрежа се употребуваат исклучиво широкопојасни засилувачи.
Секој засилувач генерира додатен шум во системот. Конвенционално, генерираниот шум од засилувачот се третира и разгледува како да се генерира од независен генератор и се сумира заедно со топлинскиот канален шум на влезот од засилувачот (иако се разбира дека на влезот не може да се измери неговата вредност).
Односот помеѓу нивото на вкупниот шум на влезот од засилувачот и нивото на топлинскиот шум изразен во децибели се нарекува шумен број на засилувачот (noise figure). Така, еден засилувач со шумен број NF ќе има вкупен еквивалентен шум на својот влез NА при што:
Нивото на шум на излезот од засилувачот ќе биде нивото на шум на влезот од засилувачот зголемено за засилувањето G на засилувачот во децибели, и изнесува :
Аналогно на ова, посакуваниот сигнал без шум Ui на влезот на засилувачот ќе биде засилен за ист износ, така што посакуваното ниво на излезниот сигнал ќе биде:
А односот сигнал/шум C/N ќе биде:
Оттука произлегува дека потребното влезно ниво за определен однос сигнал/шум треба да биде:
(25)
Сето ова се однесува само за еден засилувач. Ако во линијата имаме каскадно поврзани засилувачи, тогаш за ист определен однос сигнал/шум, нивото на влезниот сигнал треба да биде поголемо, во зависност од бројот на каскадно поврзаните засилувачи. Тоа е објаснето на оваа иста страница во поглавјето „Минимално ниво на сигнал на влез на каскадно поврзани засилувачи“.
Нивото на влезниот сигнал во засилувачот има огромно влијание врз целокупниот шум на излезот од засилувачот. Пониско ниво на сигнал од дозволеното на влезот од еден засилувач многу бргу го влошува квалитетот на сигналот, при што рапидно се намалува односот сигнал/шум. Од друга страна, при релативно високо ниво на сигнал на влезот од засилувачот, сопствениот шум на засилувачот не игра многу голема улога.
Имајќи го горново предвид, секогаш треба да настојуваме нивото на сигнал на влезот од било кој засилувач во КДС да не биде пониско од 72 dBµV.
Ова ќе го објасниме преку следниов пример:
Најнапред треба да го пресметаме односот сигнал/шум што може да го обезбеди еден засилувач. Потоа, релативно лесно можеме да го определиме односот сигнал/шум што можат да го обезбедат неколку последователно поврзани засилувачи (каскадно поврзани засилувачи)
Сега ќе објасниме што претставуваат и кои се каскадно поврзани засилувачи во КДС.
Да претпоставиме дека од еден оптички нод тргнува коаксијална мрежа со три коаксијални линии во три различни правци. Во едната коаксијална линија има 4 засилувачи еден по друг. Во втората коаксијална линија има 8 коаксијални засилувачи еден по друг и во третата коаксијална линија има 6 засилувачи еден по друг. Вкупно во таа мрежа има 18 засилувачи но најлош однос сигнал/шум ќе има во втората линија која има најмногу засилувачи (8) еден по друг. Затоа, во примеров треба да го пресметаме вкупниот шум на 8 засилувачи кои се поврзани во каскада а не на сите 18 засилувачи во мрежата.
Однос сигнал/шум што може да го обезбеди еден засилувач
Современите широкопојасни хибридни засилувачи обично имаат шумен број од околу 8 dB.
Односот сигнал/шум што може да го обезбеди еден хибриден CATV засилувач се пресметува од следнава формула:
Значи, односот сигнал/шум што може да го обезбеди еден засилувач изнесува 60 dB. Меѓутоа, ако на пример, нивото на влезниот сигнал на засилувачите во мрежата изнесува 55 dBµV, тогаш карактеристичниот однос сигнал/шум на првиот засилувач од каскадата ќе биде само 45 dB. Овој однос сигнал шум понатаму на другите засилувачи во мрежата со ништо не може да се подобри туку мора да се коригира таму каде што настанал проблемот. Ова јасно покажува колку карактеристичниот однос сигнал/шум може да биде деградиран, ако не се внимава на коректното менаџирање со нивото на сигналите во мрежата.
Однос сигнал/шум што можат да го обезбедат
каскадно поврзани засилувачи
Пресметување на односот сигнал/шум на каскадно поврзани еднакви засилувачи се врши со помош на следнава формула:
Од овде следува дека:
Кога повеќе еднакви засилувачи се поврзуваат во коаксијалната линија еден по друг на определено растојание (каскада), еквивалентниот заеднички шумен број на засилувачите од каскадата се зголемува за 3 dB за секое дуплирање на бројот на засилувачи во каскадата.
Минимално ниво на сигналот на влез на каскадно поврзани засилувачи
За пример ќе земеме дека се дадени следниве услови:
Сега, применувајќи ја соодветната формула (25) за потребното минимално ниво на влезниот сигнал, добиваме:
Значи, потребното минимално ниво на сигналот на влезот на секој од осумте засилувачи во каскадата треба да изнесува минимум 68 dBµV за да се обезбеди потребниот однос сигнал/шум од 49 dB .
Доколку каскадата има 16 засилувачи со карактеристики како во горниот пример, тогаш потребното минимално ниво на сигнал на влезот од сите 16 засилувачи треба да биде минимум 71 dBµV за да се обезбеди потребниот однос сигнал/шум од 49 dB.
Да не заборавиме дека ова е износот на минимално ниво на сигнал кое што треба да се појави на влез на самиот засилувачки елемент во кутијата на засилувачот, по диплексерот, атенуаторот и коректорот во кутијата на засилувачот. Затоа, на влезот од засилувачот неопходно е да донесеме сигнал кој ќе биде најмалку за неколку децибели повисок од вака пресметаниот минимум.
Треба да се има предвид дека односот сигнал/шум што може да го обезбеди еден или повеќе засилувачи е една работа, додека сосема друга работа е стварниот однос сигнал/шум кој постои во системот.
Така, на влезот од еден засилувач може да имаме прописно ниво на сигнал од 70 dBµV и повеќе, но стварниот однос сигнал/шум може да биде многу лош, доколку некаде мрежата е оштетена и нивото на пречките се повисоки или пак, на некој претходен засилувач нивото на влез било премногу ниско и сл.
Претходно беше објаснето дека за да биде квалитетот на сликата на аналогната ТВ кај корисниците оценет со „одличен“, односот сигнал/шум на RF сигналот треба да изнесува најмалку 47 до 49 dB (во зависност од квалитетот на телевизорот и големината на неговиот екран).
Засилувачот треба да има голема излезна моќност.
Големиот број сигнали кои се пренесуваат низ дистрибутивната
мрежа наложуваат употреба на моќни засилувачи.
На пример, за засилување на 64 аналогни ТВ канали, потребен е засилувач кој има 64 пати поголема излезна моќ, отколку засилувач кој засилува само еден канал. (за исто излезно ниво).
Треба да се земе предвид дека во КДС се пренесуваат и дигитални канали како и интернет кои диктираат засилувачот да има уште поголема моќност.
Ова ќе го разгледаме низ еден пример:
Нека е даден еден засилувач, за кој во фабричките податоци е наведено дека има засилување од 30 dB и максимално излезно ниво од 120 dBµV (фабричките податоци обично се однесуваат за засилување на еден ТВ канал).
Ситуација 1. На влезот на наведениот засилувач, доведуваме сигнал од еден ТВ канал со ниво од 90 dBµV. Засилувачот ќе го засили сигналот за 30 dB и на излезот ќе се добие сигнал со ниво од 120 dBµV.
Ситуација 2. Ако на влезот од овој засилувач доведеме мултиплексен сигнал составен од 64 канали и секој од нив има ниво од 90 dBµV, тоа значи дека сега на влезот доведуваме сигнал кој има 64 пати поголема моќ! Ако засилувачот е линеарен, тогаш тој на својот излез мора да испорача 64 пати (18 dB) поголема снага или моќ!
Меѓутоа, овој засилувач не е предвиден за толкава моќност и ќе дојде до заситување на засилувачот. Притоа, на својот излез, наместо 64 пати поголема моќ, засилувачот ќе испорача, да речеме, осум пати (9 dB) поголема моќ и тоа со големо изобличување на сигналите, бидејќи засилувачот е преоптоварен и излегол од линеарен режим на работа. Ќе дојде до интермодулација и кросмодулација, при што многу од каналите ќе се појават и на фреквенции каде што не им е вистинското место, ќе се појават пречки во вид на мрежи во сликите итн.
За да се избегне изобличувањето во конкретниов пример, потребно е нивото на излезните сигнали да се намали за 64 пати (18 dB) така што на излезот од засилувачот, нивото на секој од сигналите да изнесува: 120 - 18 = 102 dBµV.
Засилувачот треба да биде отпорен на интермодулација (IMD)
Оваа особина на засилувачите е во тесна врска со моќноста. Обично важи правилото: Колку поголема излезна моќ има засилувачот, толку е поотпорен на интермодулација.
Интермодулацијата е појава на таканаречено „мешање“ на сигналите кое се манифестира како постоење на една или повеќе слики од други канали покрај сликата од саканиот канал. Интермодулацијата е последица на нелинеарно засилување (клипување) на сигналот. Оваа појава настанува при преоптоварување на засилувачот со јаки сигнали кои стануваат изобличени, така што нивните амплитуди се компримираат заради недоволната снага, односно моќ на засилувачот. При оваа појава се јавуваат еден или повеќе различни програми на еден канал. Притоа некои од нив не се во синхронизација.
Кога од било кои причини некој од засилувачите работи во нелинеарен режим (во подрачје кога доаѓа до изобличување на сигналот), воедно доаѓа до појава на хармоници од основната фреквенција на сигналот, како и до нивно мешање со основниот сигнал кој е изобличен, како и со сите останати канали во мрежата.
Оваа појава на меѓусебно мешање на сигналите и нивните хармоници е позната под името „интермодулација“ (IMD)
Доволно е само еден од сигналите кои се пренесуваат во мрежата да го „пробие“ нивото при кое настануваат интермодулациски изобличувања, па да настанат пречки во сите канали.
Засилувачот треба да биде отпорен на „вкрстена модулација“ (кросмодулација)
Освен појавата на интермодулација, постои уште еден вид на изобличување кое се јавува кога засилувачот не работи линеарно. Тоа е таканаречената „вкрстена модулација“ или (кросмодулација).
Ова изобличување често не се разликува од интермодулацијата бидејќи се јавува истовремено со неа и под слични околности.
Кај вкрстената модулација имаме појава, на некој слаб сигнал да се „намодулира“, односно преслика или втисне, сликата на оној канал во системот кој поради својата поголема моќ, влегол во подрачје на нелинеарен режим на работа на засилувачот.
Во таков случај засилувачот има помало засилување на сигналите поради присуство на јак сигнал на неговиот влез. Кога јакиот сигнал поради било која причина ќе исчезне од влезот на засилувачот, тогаш засилувањето се враќа во нормална вредност. Како последица на ова, сите останати сигнали во мрежата се засилуваат помалку или повеќе, во зависност од тоа дали е присутен јак сигнал на влезот, односно од неговата моментална вредност. Ако јакиот сигнал на влезот од засилувачот претставува ТВ сигнал кој е амплитудно модулиран, тогаш очигледно е дека сите промени во неговата амплитуда (ТВ сликата), ќе се пренесат на останатите сигнали во мрежата, така што тие ќе бидат додатно амплитудно модулирани со содржината на сликата на јакиот сигнал кој ја пореметил линеарната работа на засилувачот.
За да се избегне оваа појава, потребно е да се употребуваат помоќни засилувачи. Исто така, потребно е нивото на сигналите во мрежата да се изедначи и намали, така што тие да не го достигнат нивото кога настануваат интермодулациски и кросмодулациски изобличувања.
Нелинеарни изобличувања кај засилувачите
Основна причина за појава на нелинеарни изобличувања во коаксијалната кабелска дистрибутивна мрежа се кабелските засилувачи. Тие изобличувања зависат од квалитетот на засилувачите, како и од бројот на последователно вклучените засилувачи во кабелската линија (каскада).
Генерално, нелинеарните изобличувања се делат на интермодулациски и кросмодулациски. Како резултат на овие изобличувања се појавуваат продукти со нови фреквенции.
При кросмодулациските изобличувања кои се јавуваат како резултат на премодулирање на сигнал од еден канал со сигнали од други канали, новите сигнали со нови фреквенции се јавуваат во фреквенцискиот спектар на корисните сигнали.
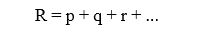
Влезниот сигнал во кабелската дистрибутивна мрежа може да се претстави преку следниов упростен израз:
каде m е бројот на сите носечки сигнали преку кои се пренесуваат ТВ и радио програмите. Додека за радио програмите се користи само еден носечки сигнал, за пренос на секој аналоген телевизиски канал се неопходни најмалку три носечки сигнали (слика, звук и боја). За стерео ТВ канали потребни се 4 носечки сигнали. Нелинеарноста на кабелските засилувачи предизвикува изобличување на сигналот на излезот од засилувачот. Овие изобличувања во фреквенцискиот спектар генерираат нови сигнали со фреквенции fk, добиени со комбинација на фреквенциите f и на влезните сигнали:
Каде коефициентите p, q, r итн. се цели броеви ( 0, 1, 2, ... ). Редот на секоја комбинација R се определува преку сумирање на тие коефициенти, односно:
Нивото на добиените интермодулациски и кросмодулациски продукти на излезот од засилувачот треба да биде толку ниско, така што да не предизвика забележливо влошување на квалитетот на сликата и звукот кај крајните корисници.
Дозволеното ниво на овие изобличувања во однос на нивото на корисните сигнали се дефинира како минимално растојание, и неговата големина, изразена во dB, се дефинира со постоечките стандарди.
При мал број пренесувани канали (помал од 20) преку кабелската дистрибутивна мрежа, изобличувањата во засилувачите се делат во три групи според растојанието помеѓу корисниот сигнал и несаканите генерирани продукти. Тоа се:
KMA (KreuzModulationsAbstand - Кросмодулациско растојание);
IMA2 (InterModulationsAbstand - Интермодулациско растојание од втор ред);
IMA3 (интермодулациско растојание од трет ред).
Нормите за KMA, IMA2 и IMA3 изнесуваат 60 dB.
На следниве слики A и Б се прикажани интермодулациските изобличувања од втор ред, кои се појавуваат при пренесување на два сигнали со носечки фреквенции f1 и f2. Во тој случај генерираните интермодулациски продукти се со носечки фреквенции 2f1, 2f2, f1+f2, f2-f1.
На пример, ако се земе дека f1 = 112.25 MHz (ТВ канал S2) и f2 = 210.25 MHz (ТВ канал Е10), тогаш генерираните продукти со фреквенција 2f1 = 224.5 MHz се наоѓа во фреквенцискиот опсег на ТВ каналот Е12, а другите продукти со фреквенција f1 + f2 = 322.5 MHz се наоѓа во фреквенцискиот опсег на ТВ каналот S23.
Ако интермодулациското растојание од втор ред (IMA2) за тие два интермодулациски продукти е помало од 60 dB, тогаш во програмата на ТВ каналите Е12 и S23 можат да се појават пречки.
На следнава слика (А) се прикажани можните интермодулациски продукти од трет ред предизвикани од два носечки сигнали со фреквенција (f1 i f2), а на слика (Б) истиот тип на изобличување предизвикани од три носечки сигнали со фреквенции (f1, f2 i f3 ).
Мерењето на кросмодулациските продукти се врши со помош на три носечки сигнали со фреквенции f1, f2 i f3 (слика 3). Притоа, ако нивото на сигналот со фреквенција f1 се земе за основно, тогаш нивото на сигналите со фреквенција f2 и f3 се определува за 6 dB помало. Исто така f3 - f2 = 2 MHz.
За да не се забележи попречување од кросмодулациските продукти со фреквенции f1+f2-f3 и f1+f3-f2, тие треба да имаат КМА >60 dB.
Карактеристично за интермодулациските и кросмодулациските продукти кои се јавуваат во широкопојасни коаксијални кабелски дистрибутивни системи со 36, 42, 57 и повеќе канали, е тоа што тие се разместени густо еден до друг, при што се добива т.н. комбинирано групирање на пречките.
Со воведување на европскиот стандард CENELEC, за мрежи со поголем број канали (36, 42, 57, 77 и повеќе) продуктите на нелинеарно изобличување се сместени густо еден до друг, при што се добива таканаречено комбинирано групирање на пречките.
Во кабелската дистрибутивна мрежа, комбинираните изобличувања се поделени исто така во три групи според растојанието помеѓу корисниот сигнал и несаканите генерирани продукти на интермодулација и кросмодулација. Тоа се:
CSOA (Composite Second Order beats Abstand - комбинирано интермодулациско растојание од втор ред);
CTBA (Composite Triple beats Abstand - комбинирано интермодулациско растојание од трет ред), и
CXMA (Composite X (cross) Modulation Abstand - комбинирано кросмодулациско растојание од трет ред), или само: „вкрстена модулација“. Во некои литератури комбинираното кросмодулациско растојание се означува како: XMOD.
Минималното растојание на интермодулациските и кросмодулациските изобличувања претставува разлика (изразена во dB) помеѓу нивото на носечките корисни сигнали и нивото на несаканите продукти, при која не се забележува влошување на квалитетот на сликата и звукот од пренесуваната ТВ програма. За оценка на изобличувањето на сигналите во кабелските дистрибутивни системи со 36 канален растер обично се употребува CTBA, а за системите со 57 канален растер се употребува CXMA.
Бројот на интермодулациски продукти од втор и тред ред NCSO и NCTB што ќе се генерираат во мрежата зависи од бројот на пренесувани канали во мрежата и од фреквенцијата. На пример, при пренесување на 77 канали во еден КДС, најголем број (околу 37) на интермодулациски продукти од втор ред (CSO) ќе се јават во каналот со најниска фреквенција, а најмал број на овие продукти (околу 15) ќе се јави во каналот од средината на користениот фреквенциски опсег.
Истовремено, во централниот канал можат да се јават дури 4300 продукти од трет ред (CTB) додека во каналот од највисоката фреквенција нивниот број е помал.
Затоа, изобличувањата од втор ред треба да се мерат во канали со најниска фреквенција, а изобличувањата од трет ред – во средните канали.
Мерењето на комбинираните изобличувања се врши со специјални стандардизирани методи, а техничките минимални растојанија треба да бидат поголеми од 60 dB. На приклучиот конектор кај крајниот корисник минималните комбинирани интермодулациски растојанија CTBA и минималните комбинирани кросмодулациски растојанија CXMA треба да бидат поголеми од 54 dB.
Засилувачот треба да биде линеарен
Сите засилувачи кои се користат во кабелските дистрибутивни системи треба да бидат екстремно линеарни. Тоа значи, излезното ниво на сигналот да одговара на влезното ниво, односно да нема никаква нелинеарна промена на излезниот сигнал во однос на влезниот сигнал.
Условите во поглед на линеарност, кои се бараат од засилувачите во КДС се многу сериозни, бидејќи се работи за каскадно поврзување на поголем број засилувачи во мрежата, како и засилување на голем број канали.
При каскадното поврзување на засилувачи (повеќе засилувачи еден по друг во една линија) сите изобличувања или било каква нелинеарност на секој од засилувачите, кумулативно се собираат. За таа цел, очигледно дека е потребна употреба на екстремно квалитетни засилувачи, за да и после голем број на засилувачи, квалитетот на сигналот остане во потребните граници. За жал, вакви засилувачи се ретки и многу скапи, па единствено решение е ограничување на бројот на засилувачите во една линија, за да се одржи потребното ниво на квалитет.
Доколку не се посвети внимание на ова, односно доколку се употребуваат релативно послаби засилувачи (затоа што се поевтини), набргу квалитетот на сигналот се деградира до тој степен што никаква поправка или натамошно ширење на мрежата не доаѓа предвид, освен комплетна замена на сите неадекватни засилувачи со соодветни.
Засилувачот треба да има голем динамички опсег
Динамичкиот опсег на засилувачот претставува мерка за квалитет на засилувачот која во себе ги обединува претходно споменатите карактеристики на засилувачите, а тоа се: шумниот број, големината на засилување и излезното ниво на сигналот за одредено ниво на нелинеарни изобличувања.
Динамичкиот опсег на засилувачот претставува опсег во кој може да се менува нивото на сигналот на влезот од засилувачот, а притоа сигналот на излезот да не претрпи деградација поголема од строго дефинираната.
Од долната граница, овој опсег е ограничен со минималниот однос сигнал/шум на излезниот сигнал и него директно го одредува шумниот број на засилувачот. Долната граница на динамичкиот опсег е она ниво на влезниот сигнал кое на излезот обезбедува однапред зададен минимален однос сигнал/шум. Ако за долната граница се земе вредност сигнал/шум = 0, тогаш се добива таканаречен SFDR (Spurious Free Dynamic Range), или динамички опсег слободен од пречки (продукти на интермодулациски и кросмодулациски изобличувања IMD).
За потребите при дистрибуција на аналогни ТВ сигнали се определува однос сигнал/шум = 49 dB, додека при преносот на дигитални канали и за потребите на комуникациите може да се определи и помала вредност.
Од горната граница динамичкиот опсег е ограничен со максималниот напон на сигналот при кој засилувачот поради нелинеарни изобличувања, генерира продукти кои се еднакви на нивото на шум на излезот од засилувачот.
Нивото на шум на излезот од засилувачот е еднакво на влезното ниво на шум зголемено за вредноста на засилувањето на засилувачот.
Засилувачот треба да има определено оптимално засилување (G)
Во претходниот текст е објаснето дека јачината на сигналот опаѓа при неговото пренесување низ мрежата на КДС при што, најголемо влијание врз слабеењето на сигналот има квалитетот на кабелот кој се употребува. За кабел со среден квалитет (RG11), чије слабеење изнесува 13 dB на 100 метри (на 860 MHz и температура од 20 степени целзиусови) следи дека, доколку употребуваме засилувач со засилување од 22dB, потребно е поставување на засилувач на секои 170 метри кабел.
Од ова на прв поглед може да се заклучи дека е пожелно засилувачот да има што поголемо засилување за да може да се употреби помал број засилувачи за определено растојание. Но, не е така!
За постигнување на оптимални перформанси, нaјдобро е ако се избере засилувач кој има засилување точно толку колку што изнесува слабеењето на сигналите по коаксијалниот кабел. Притоа должината на кабелот да се одбере така што на влезот од засилувачот да пристигнат сигнали со ниво кое нема да биде пониско од минимално потребното (72 dB), со цел да се добие бараниот однос сигнал/шум од 49 dB (при каскада до максимум 8 засилувачи).
Оптималното потребно засилување на засилувачот е функција од шумниот број на засилувачот и излезната моќ при зададен степен на изобличување.
Ова ќе го објаснам со следниов пример:
Нека е даден засилувач со следниве карактеристики:
Ако засилувањето G на засилувачот е нагодено да изнесува 27 dB на каналот со највисока фреквенција, а влезното ниво на сите канали е 72 dBµV, тогаш согласно формулата C/N = Uin – N75Ω NF, пресметуваме (72 – 2 – 8) и добиваме дека односот сигнал/шум само за овој засилувач ќе биде 62 dB.
Излезното ниво на сигналите ќе биде влезното ниво плус засилувањето на засилувачот: 72 dBµV + 27 dB = 99 dBµV, со тоа што CTBА ќе биде во границата од -78 dB.
Ако влезниот сигнал варира, со секој децибел зголемување на влезното ниво на сигналот, односот сигнал/шум ќе се подобри (зголеми) за 1dB, додека CTBА ќе се влоши (намали) за 2 dB. За да се намали нивото на влезниот сигнал и да се добие потребното излезно ниво на сигналот, употребуваме соодветен атенуатор со кој го намалуваме сигналот на влезот од засилувачот.
Сега да ја разгледаме ситуацијата ако имаме засилувач дизајниран за засилување од 40 dB. На прв поглед поголемото засилување на засилувачот изгледа дека е подобро бидејќи ќе може да се употреби подолг коаксијален кабел помеѓу засилувачите и да се однесе сигналот на поголемо растојание.
Но, да видиме што ќе се случи со односот сигнал/шум и изобличувањето на засилувачот.
Ако на влезот на овој засилувач се донесе ниво на сигнали од 72 dBµV, тогаш нивото на излезниот сигнал ќе биде зголемено за 40 dB и ќе изнесува 112 dBµV. При тоа ниво на излезниот сигнал, CTB ќе изнесува само -52 dB, односно ќе се влоши за 26 dB, бидејќи нивото на излезниот сигнал од засилувачот се зголемил за 13 dB.
Ако сега, со цел да го намалиме изобличувањето, го намалиме излезното ниво на 99 dB (со атенуатор го намалиме влезното ниво за 13 dB), тогаш односот сигнал/шум исто така ќе се намали за 13 dB и ќе изнесува само 49 dB! И тоа само за еден засилувач. Веќе при два вакви каскадно поврзани засилувачи односот сигнал/шум ќе биде 46 dB што е под дозволената граница!
Накратко, преголемото засилување на засилувачот нѐ принудува или да прифатиме поголемо изобличување, или намален однос сигнал/шум.
Современите CATV засилувачи се повеќестепени и кај нив со помош на коректор и атенуатор помеѓу засилувачките степени, може многу подобро да се нагодат оптималните работни параметри.
Големо засилување е релативно лесно да се постигне при изработката на еден засилувач. Технички неспоредливо потешка задача е да се постигне што понизок шумен број и големо излезно ниво при мали изобличувања на сигналот. Токму тие особини на засилувачите најмногу се ценат.
Засилувачот треба да биде двонасочен (да овозможи засилување
или премин на сигналите во обратна насока, во фреквенцискиот појас од 5 до 65 MHz)
Во кабелската дистрибутивна мрежа освен што се пренесуваат голем број канали во вид на модулирани RF сигнали од главната станица кон корисниците, се пренесуваат и сигнали во обратна насока, односно од корисниците кон главната станица.
Сигналите од главната станица кон корисниците се пренесуваат во фреквенциското подрачје од 85 до 862 MHz.
Сигналите од корисниците до главната станица се пренесуваат во фреквенциското подрачје од 5 до 65 MHz – „повратен пат“ и се користат за двонасочна дигитална комуникација (како што е интернет-upstream на пример).
Засилувачот, освен што треба да ги засили сите сигнали од фреквенцискиот опсег од 85 до 862 MHz, треба да овозможи засилување (или, по желба, само премин) на сигналите во обратната насока, за „повратниот пат“ во фреквенциското подрачје од 5 до 65 MHz.
ЗАВИСНОСТ НА ИЗЛЕЗНОТО НИВО НА ЗАСИЛУВАЧОТ
од бројот на пренесуваните канали и од бројот на засилувачи поврзани еден по друг во линија (каскадно поврзани засилувачи)
Минимално ниво на RF сигналите на излезот од засилувачот
Порано спомнав дека субјективната оцена за квалитетот на сликата и звукот е поврзана со односот сигнал/шум на соодветниот ТВ сигнал. Минималниот однос на сигнал/шум треба да изнесува 49 dB за квалитетот на приманиот ТВ канал да биде одличен. За да се осигури тој однос на сигнал/шум во приемникот кај секој од корисниците, минималното ниво на сигналите на секој засилувач треба да изнесува:
Максимално ниво на сигналите на излезот од засилувачот
Засилувачи и нелинеарни изобличувања во КДС
Максималното дозволено ниво на сигналот на излезот на даден засилувач зависи од бројот на пренесуваните канали во мрежата и од бројот на каскадно поврзани засилувачи.
Со зголемување на бројот на каналите се зголемуваат интермодулациските изобличувања, како и изобличувањата предизвикани од вкрстената модулација затоа што расте бројот на носечки сигнали. За да се обезбеди квалитет на сигналите согласно меѓународните норми (KMA, IMA2, IMA3, CTBA, CXMA и CSOA), неопходно е соодветно да се намали нивото на сигналите на излезот од засилувачите.
Исто така, секој следен засилувач внесува нови интермодулациски и кросмодулациски изобличувања. За да се избегне пречекорување на дозволеното ниво на изобличување на сигналите при зголемување на бројот на последователно сврзани засилувачи во мрежата, се наметнува потребата од дополнително намалување на нивото на сигналите на излезот од засилувачите.
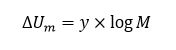
Обично, максималното ниво на сигналите на излезот од кабелските засилувачи (во каталозите) се дава за два канали (програми). За да не се пречекорат дозволените изобличувања при користењето на таквите засилувачи во кабелските дистрибутивни системи преку кои се пренесуваат n аналогни телевизиски канали, нивото на излезните сигнали на секој засилувач треба да се намали за следнава вредност, изразена во dB:
Коефициентот x зависи од карактерот на носечките сигнали и бројот на каналите. Тој може да ги има следните вредности: x = 10 – при синхроност на осцилациите од сите носечки сигнали во мрежата; x = 5 – при асинхроност на осцилациите на носечките сигнали и x = 7.5 – најчесто користена (средна) вредност (за мали системи до 32 ТВ канали).
Обично, во системи преку кои се пренесуваат 12 ТВ и 24 ФМ радио програми, се зема дека ΔUn = 8.5 dB; при 24 ТВ и 24 ФМ радио програми ΔUn = 11.5 dB и при 35 ТВ, 30 радио програми и 16 канали на дигитално радио ΔUn = 12.5 dB.
Износот (во dB) за кој треба да се намали нивото на сигналот на излезот на секој од последователно сврзаните засилувачи со цел да се запазат зададените интермодулациски и кросмодулациски растојанија, може да се определи од следнава формула:
каде што М е реден број на засилувачот, а y е коефициент кој зависи од проектираните растојанија на интермодулациските и кросмодулациските продукти. Така:
y = 10 при IMA2 и CSOA;
y = 17 при KMA и IMA3;
y = 18 при CTBA, и
y = 20 при CXMA.
Кога бројот на каналите е до 24, најчесто се користат нормите IMA2, IMA3 и КМА. При 36 и 42 канален растер најчесто се користат нормите CSOA и CTBA, а при 57 или 77 канален растер најчесто се користи нормата CXMA.
Од сето погоре кажано, за пресметување на максимално дозволеното ниво на излезот од засилувачот се добива изразот:
каде што е максималното излезно ниво на засилувачот по каталог за два канали и при растојание на интермодулациски продукти (КМА, IMA) од 60 dB.
Нивото на добиените интермодулациски и кросмодулациски продукти на излезот од определан засилувач треба да биде толку ниско, така што, да не предизвика забележливо влошување на квалитетот на сликата, односно звукот кај корисниците.
Основни правила при определување на излезното ниво кај засилувачите се следниве:
Намалување на нивото на сигналите на излезот од засилувачот за 1dB, го подобрува (зголемува) CSOA за околу 1dB.
Намалување на нивото на сигналите на излезот од засилувачот за 1dB го подобрува (зголемува) CTBA и CXMA за околу 2dB.
Дуплирање на бројот на засилувачи со исти карактеристики поврзани едноподруго во линија (каскада) го влошува (намалува) CSOA за 3 dB.
Дуплирање на бројот на засилувачи со исти карактеристики поврзани едноподруго во линија (каскада) го влошува (намалува) CTBA и CXMA за 6 dB.
Во каталошките податоци за широкопојасните засилувачи се наведува нивното засилување изразено во (dB) и максималното излезно RF ниво изразено во (dBµV). Податоците за максималното излезно ниво (ако инаку не е наведено) обично се однесуваат за случај кога засилувачот засилува два сигнали. Во кабелските дистрибутивни системи широкопојасните засилувачи засилуваат голем број сигнали, па е потребно да се намалат излезните нивоа на засилувачите.
Колку поголем број канали се пренесуваат низ мрежата, толку помало ниво треба да форсираме на излезот од засилувачите.
Општо земено, без многу паметење на формули и пресметувања, техничарите е доволно да знаат дека при секое дуплирање на бројот на пренесуваните канали, потребно е нивото на излезот од сите засилувачи во мрежата да се намали за 3 dB.
Исто така, колку поголем број засилувачи има во една линија (поврзани во каскада), толку повеќе треба да се намали нивото на излезот од засилувачите.
Доволно точно и едноставно важечко правило е дека при секое дуплирање на бројот на употребените засилувачи во каскада, потребно е нивото на излезот од засилувачите да се намали за 3 dB. Ова ќе го разгледаме со следниов пример:
Нека е даден засилувач, за кого во фабричките податоци е наведено дека максималното излезно ниво на тој засилувач изнесува 123 dBµV (за -60 dB IMD). Ова важи за еден ТВ канал и само еден засилувач во линија. Излезното ниво на засилувачите во зависност од бројот на пренесувани канали и бројот на засилувачи поврзани во каскада, (за засилувачот од примерот) се прикажани во следнава табела:
За да го одржиме потребното ниво на интермодулациски и кросмодулациски пречки од -60 dB IMD (во овој пример), потребно е да се придржуваме на вредностите за излезното ниво од оваа табела. Во спротивно, ќе се намали односот сигнал/шум, ќе се појават пречки во сигналот и ќе се влоши квалитетот на сликата и звукот на пренесуваните канали.
Практично манифестирање и препознавање на
пречките од поодделни изобличувања
Кросмодулациските изобличувања, односно пречки (X-Mod) предизвикуваат дијагонални тенки темни траки преку сликата кои вообичаено се движат преку целиот екран и тоа од горниот десен агол кон долниот лев агол на екранот.
Исто така, во позадина на сликата од каналот кој го гледаме, има слика од друг канал. Ова особено се забележува кога сликата на каналот кој го гледаме се затемнува или ако некој текст се движи преку темна позадина.
Друго најчесто изобличување е „комбинирано интермодулациско растојание од трет ред“ (CTB – Composite Triple Beat Distortion). Ова изобличување се манифестира како пречки во вид на мали тенки искршени мрежички преку целата слика. Исто така можат да предизвикаат „зрнеста слика“, односно мали ситни точки преку целиот екран.
Овие изобличувања најчесто се предизвикани од превисоко ниво на влезот од некој засилувач во мрежата.
Исто така, во пракса често се случува, изобличувањето во мрежата да е во границите на нормалата меѓутоа на влезот од ТВ приемникот кај самиот корисник нивото на сигнал може да биде повисоко, така што само на ТВ приемникот од корисникот се забележуваат горенаведените појави и пречки на сликата, бидејки превисоко ниво на сигнал предизвикало изобличување на засилувачот во самиот ТВ приемник. Во тој случај потребно е само малку да се намали нивото на сигнал кај корисникот и пречките исчезнуваат.
Пречките и изобличувањата најдобро се забележуваат на аналоген ТВ канал при отсуство на видео сигнал на влезот од модулаторот за каналот на кој сакаме да видиме дали има пречки. Тогаш на екранот од ТВ приемникот за аналогна ТВ нема слика, односно екранот е затемнет. На темната униформна позадина на ТВ екранот, лесно можат да се забележи доколку има било какви изобличувања и пречки во соодветниот канал. Во тој случај, доколку екранот е со еднобојна темна позадина преку целиот екран, значи дека нема пречки и изобличувања кои можат да го попречат сигналот на тој канал. Доколку на екранот, на темната позадина се забележуваат било какви линии, шари и слично, тогаш тоа е знак дека пречките и изобличувањата од останатите канали се доволно високи така што го попречуваат сигналот на тој канал.
Ова може да се забележи само на канал од аналогната телевизија.
Магистрални (линиски) и дистрибутивни засилувачи
Во магистралните линии од коаксијалната дистрибутивната мрежа се користат магистрални (линиски) засилувачи. Тие обично имаат повисоко излезно ниво и се релативно со поголема моќ од дистрибутивните засилувачи кои се користат во субмагистралните, односно крајните мрежи од КДС.
Дистрибутивните засилувачи обично имаат поголемо засилување.
Во последниве години, поради многу помалото слабеење на сигналите, магистралниот дел од КДС се изведува со оптички кабли, како составен дел од хибридната оптичко-коаксијална мрежа (HFC). Така, магистралните засилувачи во модерните КДС речиси воопшто не се користат повеќе. Помеѓу оптичкиот нод и крајните корисници, во делот на коаксијалниот сегмент од КДС растојанието е релативно мало, па така нема потреба од користење на магистрални засилувачи туку се употребуваат релативно поевтини субмагистрални засилувачи.
Дистрибутивните засилувачи се користат во субмагистралните линии на КДС. Тие можат да имаат пониско ниво од магстралните засилувачи и можат да бидат со помала моќ.
Влезната и излезната импеданса на засилувачите кои се користат во КДС треба да изнесува 75 оми.
Денес на пазарот се достапни голем број различни CATV засилувачи од различни производители. Обично секој тип на засилувач нуди компромис помеѓу неговите технички карактеристики и неговата цена. Идеален CATV засилувач треба да ги засили сигналите во КДС без да додава било каков шум или изобличување. Но, за жал, не постои ништо идеално...
Едностепен CATV засилувач
Засилувачкиот блок има фиксно засилување кое обично изнесува 30 до 40 dB. За да се постигне регулација на засилувањето, се става атенуатор на влезот пред засилувачкиот блок. Со атенуаторот го намалуваме нивото на сигналот на влезот, така што на излезот од засилувачот да го добиеме потребното ниво на сигнал. На влезот од засилувачкиот блок се поставува и еквилајзерот (коректорот) кој исто така ги ослабнува нивоата на сигналите од пониските фреквенции, но иако за малку (околу 1dB), коректорот сепак ги ослабнува и сигналите на високите фреквенции. Ваква конфигурација има недостаток: сигналите на влезот од засилувачот се ослабнуваат до вредност кога опасно се доближуваат до константниот шум во системот (кој не може да се намали со атенуаторот) со што се деградира односот сигнал/шум.

За да не го ослабнат дополнително влезниот сигнал, некои произведувачи го поставуваат коректорот (еквилајзерот) на излезот од засилувачкиот блок. Во ваква конфигурација засилувачкиот блок треба да има повисоко излезно ниво за да го компензира слабеењето кое го предизвикува коректорот. Со зголемување на излезното ниво многукратно се зголемува изобличувањето (изобличувањето претставува еден вид шум) на засилувачкиот блок, па така, како краен резултат пак добиваме помал однос сигнал/шум.
Повеќестепен CATV засилувач
Повеќестепените засилувачи во себе имаат обично два или повеќе засилувачки степени. Влезниот сигнал доаѓа најпрво во првиот засилувачки степен, а потоа доволно засилен доаѓа до вториот засилувачки степен.
Подобар квалитет (помал шум и помало изобличување) може да се постигне така што потребното ниво на засилување се подели во двата засилувачки степени. Првиот засилувачки степен работи со релативно ниско ниво на сигнал и затоа е дизајниран за да има низок шум. Од друга страна, првиот засилувачки степен на својот излез не мора да даде многу високо ниво на сигналите, така што не внесува големо изобличување.
Вториот засилувачки степен на својот влез добива релативно повисоко ниво на сигнал и затоа не мора да биде нискошумен. Овој засилувачки степен има поголема моќ и е оптимизиран за постигнување на високо излезно ниво со што помало изобличување.
Потребната атенуација на сигналот се поделува така што еден дел се постигнува пред првиот засилувачки степен, а конечната атенуација се добива со вметнување на фиксни атенуатори помеѓу првиот и вториот засилувачки степен. Така, на влезот на предзасилувачот нема да дозволиме да дојде премногу ниско ниво на RF сигнал (со што би се намалил односот сигнал/шум). Истовремено, излезниот засилувачки степен не мора да се форсира да работи со премногу високо излезно ниво на RF сигнал (со што би се зголемило изобличувањето). Потребната еквализација и „slope“ - корекција исто така се поделува.

Со коректорот пред првиот засилувачки степен се изедначуваат нивоата на сигналите на влезот од првиот засилувачки степен. Со коректорот (slope) помеѓу двата засилувачки степени се постигнува потребната корекција (разлика во нивоата на сигналите на излезот од засилувачот) која во зависност од употребените коаксијални кабли обично изнесува околу 8 - 12 dB. (коректорот ги ослабнува сигналите пропорционално со смалување на фреквенцијата така што најниските канали да бидат со околу 8 до 10 dB пониско ниво од каналите на највисоките фреквенции)
Условите за еден добро планиран и проектиран кабелски дистрибутивен систем, обично диктираат влезниот сигнал на засилувачот да изнесува од 72 до 75 dBµV, а излезното ниво на засилувачите се нагодува на околу 100 dBµV на високите фреквенции (860 MHz) и околу 92 dBµV на ниските фреквенции (112 MHz). (ова се однесува за најчесто употребуваните современи CATV засилувачи). Ако засилувачот има два излези, (со внатрешен сплитер) излезното ниво го намалуваме за околу 3,5 dB и ќе изнесува 96,5dBµV на високите и 88,5dBµV на ниските канали, на секој од двата излези. Ова детално е објаснето во мојата друга веб страница: Планирање и проектирање на коаксијална кабелска дистрибутивна мрежа.
Доколку нивото на сигналот на влезот од некој засилувачот на било која фреквенција падне под 72 dBµV, тогаш велиме дека нивото на корисниот сигнал се приближува до шумот и односот сигнал/шум се намалува во целиот систем после тој засилувач.
Доколку нивото на сигналот на излезот од некој засилувач биде повисоко од 100 dBµV, тогаш тој засилувач ќе го изобличи сигналот повеќе од дозволеното и квалитетот на сигналот после тој засилувач во системот ќе се намали.
Атенуатори ( ослабувачи на сигналот )
За регулирање на нивото на сигналите на влезот на засилувачот, како и за осигурување на неговото усогласување кон импедансата на коаксијалниот кабел, се употребуваат фиксни или варијабилни атенуатори. Бидејќи усогласувањето на импедансата во кабелската дистрибутивна мрежа е од особено значење, се препорачува на влезот на секој засилувач, пред или по коректорот на фреквенциската карактеристика, да се стави атенуатор со помош на кој ќе се подеси потребното ниво на сигналите на влезот од засилувачот и што е исто така многу важно, ќе се прилагоди импедансата. Ова е заради тоа што влезна импеданса на засилувачот од точно 75 оми во целото широкопојасно фреквенциско подрачје од 112 до 860 MHz е многу тешко или невозможно да се постигне. Но, со помош на атенуатор тоа лесно се прилагодува.
Значи, прво се поставува атенуатор, па еквилајзер, па потоа следува засилувачкиот елемент во засилувачот.
Кај современите заслувачи сите овие елементи се вградени во самата кутија на засилувачот.
Атенуаторите во зависност од својата вредност, помалку или повеќе го слабеат сигналот линеарно, односно подеднакво на сите фреквенции.
Најголем број од поевтините засилувачи имаат вградени варијабилни односно регулирачки атенуатори и коректори. Со овие варијабилни атенуатори мошне лесно се нагодува потребното засилување и корекција. Меѓутоа со текот на времето, нивната вредност станува релативно нестабилна. Еднаш нагодените вредности имаат тенденција да се променат за некој временски период. Исто така, нагодените вредности на варијабилните атенуатори и коректори можат да се изместат при механички вибрации или удари на засилувачот. Многу подобри се фиксните атенуатори и коректори кои се во вид на изменливи плочки со контакти кои се вметнуваат на посебни места внатре во засилувачот. Недостаток кај фиксните атенуатори и коректори е тоа што секогаш при рака треба да се има поголем број изменливи плочки со разни вредности за да може точно да се нагоди саканата вредност на атенуација и еквализација.
Коректори на фреквенциската карактеристика
(„еквилајзери“ - изедначувачи на нивото на сигналите во мрежата)
Минувајќи низ коаксијалниот кабел, како и низ другите пасивни елементи на дистрибутивната мрежа, сигналите претрпуваат различно слабеење во зависност од нивната фреквенција. Како последица на тоа, во некој дел од мрежата, сигналите со пониска фреквенција се појаки, за разлика од сигналите со повисока фреквенција кои се послаби.
Бидејќи сигналите на влезот од засилувачот треба да бидат со подеднакво ниво, треба на некој начин да се изедначат нивоата на сите сигнали кои се пренесуваат во мрежата. Тоа се постигнува со помош на коректори на фреквенциската карактеристика, кои имаат обратна карактеристика на слабеење во однос на коаксијалниот кабел. Овие коректори имаат најголемо слабеење на сигналите со најниска фреквенција додека сигналите со највисоки фреквенции претрпуваат многу мало слабеење.
Во основа, коректорите претставуваат триполни L-R-C филтри со инверзна амплитудно-фреквенциска карактеристика во однос на амплитудно-фреквенциската карактеристика на коаксијалниот кабел.
Коректорите, како и атенуаторите, можат да бидат фиксни и варијабилни. Фиксните коректори се произведуваат во вид на изменливи плочки со конектори кои се вметнуваат на посебни места внатре во засилувачот. На самата плочка од фиксниот коректор е означена вредноста на коректорот која ја одбираме во зависност од фреквенциската карактеристика на слабеење на употребениот кабел и од должината на кабелот.
Во еден современ двостепен CATV засилувач потребната вредност на корекција се дели на два дела и во засилувачот се поставуваат два коректори. Едниот коректор се става на влезот од првиот засилувачки степен во засилувачот а вториот коректор се става помеѓу првиот и вториот засилувачки степен во засилувачот.
Коректорите се одбираат така што нивото на сигналите на влезот на првиот засилувачки степен бидат изедначени, додека нивото на излезот од засилувачот на високите фреквенции (860 MHz) треба да биде околку 99 dBµV, а нивото на сигналите на ниските фреквенции (112 MHz) на излезот од засилувачот треба да изнесува околу 91 dBµV.
Коректори на сигналите во обратна насока,
во фреквенцискиот појас на „повратниот пат“ од 5 до 65 MHz
Преносот на сигналите за потребите на интернет-upstream во КДС (docsis интернет) се врши во обратна насока (повратен пат) и тоа во нискиот фреквенцискиот појас од 5 до 65 MHz. Овој фреквенциски појас на прв поглед не изгледа многу широк, но фреквенцискиот распон изнесува 1:13 помеѓу најниската фреквенција (5 MHz) и највисоката фреквенција (65 MHz). Од друга страна, делот од 5 MHz do 30 MHz речиси воопшто не се користи поради големите пречки во тој фреквенциски појас.
Во модерните КДС за интернет-upstream сообраќајот се користат фреквенции помеѓу 30 и 65 MHz. Односот помеѓу најниската и највисоката фреквенција сега е само 1:2 така што нема потреба да се применува корекција во обратната насока со примена на еквилајзери, односно коректори.
Фреквенциски филтер (Diplexer)
Фреквенцискиот филтер - диплексер служи за раздвојување на сигналите со фреквенции од 85 до 862 MHz од сигналите во обратна насока (повратен пат) со фреквенции 5 до 65 MHz.
Диплексерот се поставува внатре во засилувачите со намена да го раздвои директниот од обратниот канал.

Во основа, диплексерот е составен од нископропусен филтер, односно филтер за ниски фреквенции (LPF - Low Pass Filter) и високопропусен филтер, односно филтер за високи фреквенции (HPF - High Pass Filter).
Користењето на диплексер-филтерите е неопходно во двонасочните кабелски дистрибутивни системи. Од друга страна тие имаат свои недостатоци. Главен проблем е што тие најмногу придонесуваат во доцнење на сигналите (Group Delay) кое предизвикува интерференција меѓу дата-симболите на дигиталните сигнали. Проблеми поради доцнењето (иако во помала мера) се јавуваат и во аналогните ТВ сигнали.

Напојување на засилувачите преку коаксијалниот кабел
трансформатор и напонски внесувач (power inserter)
Засилувачите во кабелскиот дистрибутивен систем, по правило, се напојуваат преку коаксијалниот кабел со користење на „напонски внесувач“ (power inserter) кој покрај RF сигналите, низ коаксијалниот кабел внесува и наизменичен напон од околу 60 волти. При евентуални оштетувања на кабелот овој напон не е опасен за човекот. Потребниот напон од 60 Волти се добива со помош на трансформатор 220/60V.

Јачината на струјата која треба да ја обезбеди трансформаторот се пресметува во зависност од тоа колку засилувачи ќе се напојуваат од тој трансформатор.
Обично засилувачите кои се користат во КДС имаат потрошувачка од околу 15 до 20VA и работен напон од 30 до 60V. Значи, јачината на струјата потребна за работа на засилувачот со зададена моќност, зависи од тоа на колкав напон ќе работи засилувачот.
Ако засилувачот е поблиску до трансформаторот, тогаш напонот ќе биде повисок (околу 60V). Ако засилувачот е поставен подалеку од трансформаторот, падот на напонот што го предизвикува отпорот на коаксијалниот кабел ќе биде поголем, така што последниот засилувач во тој сегмент ќе се напојува со понизок напон, но со поголема јачина на струјата (моќноста на засилувачот е секогаш константна).
На пример, нека е даден еден CATV засилувач кој има потрошувачка моќ од 20VA. Тој засилувач кога се наоѓа блиску до трансформаторот ќе работи на напон од околу 60V има потреба од јачина на струјата еднаква на 0,333А. (20VA/60V=0,333А). Истиот тој засилувач кога се наоѓа подалеку од трансформаторот, ќе работи на напон од 30V и ќе има потреба од два пати поголема јачина на струјата, која во овој пример, ќе биде еднаква на 0,666А (20VA/30V=0,666А).
Ако од еден трансформатор треба да се напојуваат 20 засилувачи во неколку различни коаксијални линии и за секој од тие 20 засилувачи треба да се обезбеди јачина на електричната струја од по 0,666A, следува дека трансформаторот треба да испорача најмалку 13,32А (20 х 0,666А = 13,32А). Сега може лесно да се пресмета колкава моќ треба да има трансформаторот: 13,32А х 60V = 800 VA. Во пракса зе зема 25% повеќе (поради разни загуби), така што моќноста на трансформаторот од горниот пример треба да биде 1000 VA, односно треба да дава 60V напон и 16,666 А струја.
При правилно планирање и проектирање на КДС треба да се внимава на јачината на електричната струја која е потребна за напојување на засилувачите. Притоа, конекторите и контактите треба да се предвидени за потребната јачина на струјата.

Во ниту еден случај не смее да се дозволи во кабелската линија низ која поминува и струја за напојување на засилувачи да се користат “F” конектори. Контактите на спојките со “F” конектори се недоволни за пренос на струја за напојување на засилувачите, особено кога низ контактите поминува поголема струја за напојување на повеќе засилувачи. Можеби на почетокот тие нема да создаваат видливи проблеми, но по некое време контактите кородираат и предизвикуваат пад на напонот и проблеми, а корисниците пријавуваат зголемен број дефекти во таа линија.
Пожелно е трансформаторот да се приклучи преку “UPS” (Uninterruptible Power Supply), односно уред за непрекинато напојување со стабилизатор на напонот кој овозможува стабилно и непрекинато напојување на засилувачите дури и при евентуални кратки прекини на електричната енергија.
На следнава слика е прикажана блок шема на далечинско напојување на засилувач поставен во линија на коаксијален кабел. Напојувањето на засилувачот се врши преку коаксијалниот кабел со користење на "напонски внесувач" (power inserter) кој покрај RF сигналите, низ коаксијалниот кабел внесува и наизменичен напон од околу 60 волти.

Разделници (делители, односно сплитери)
Разделниците се пасивни шестополни елементи кои го делат влезниот сигнал на одреден број гранки. Постојат разделници со еден влез, и два или повеќе излези. Се користат кај антенските системи за делење на сигналот од една антена на повеќе приемници, во кабелската дистрибутивна мрежа за делење на сигналот од една на две или повеќе линии, кај корисниците обично се користат за делење на сигналот од еден на два телевизори или пак за еден ТВ и еден кабелски модем, а во главната станица се користат и како здружувачи (суматори) на сигналите од повеќе влезови во еден излез.
Изолацијата на разделниците (околу 22 dB помеѓу излезите) не е доволна и затоа не се препорачува употреба за делење на сигналот помеѓу два или повеќе корисници бидејќи евентуалните пречки од кај еден корисник можат да влијаат на сигналот и кај другиот корисник поврзан на истиот сплитер. Во вакви случаи подобро е да се користат тапови наместо сплитери.
Разделниците кои се користат во КДС треба да имаат висок степен на RF-оклопеност, за да се спречи пенетрација на радио-фреквенциски зрачења во системот, и од него.

Разделниците овозможуваат премин на сигналот и во обратна насока, од своите излези кон влезот. Таквото обратно приклучување овозможува сумирање на сигналите. Импедансата на влезот и излезите на разделниците треба да изнесува 75 оми.
Во идеален случај разделниците со еден влез и два излези го делат влезниот сигнал на два еднакви делови со по 3 dB пониско ниво од тоа на влезниот сигнал. Но, во пракса, поради загубите во самиот разделник (0.5 ... 1 dB) на излезите од разделникот се добиваат сигнали кои се за 3.5 до 4 dB пониско ниво од она на влезот. Разделниците со еден влез и 4 излези го слабеат сигналот за 7 до 8 dB.

Сплитери за внатрешна употреба
Типичните карактеристики на сплитерите за внатрешна монтажа (во немагистрални линии без засилувачи) кои не пропуштаат напон, односно струја за напојување на засилувачите, се прикажани во следнава табела:
Претходно објаснив дека во магистралните и субмагистралните линии, освен RF сигналите, се пушта и наизменичен (НФ) напон со фреквенција од 50 Hz и со напон од 60 волти. Овој напон служи за напојување на засилувачите преку кабелот. Во таквите линии на КДС се употребуваат разделници кои ја пропуштаат струјата потребна за напојување на засилувачите (AC-pass тип). Овие сплитери се нарекуваат и надворешни сплитери.

Сплитер за надворешна монтажа кој пропушта струја потребна за напојување на засилувачите преку кабелот
Во крајните кориснички линии каде не постои напон за напојување на засилувачите и, каде по кабелот се пренесуваат само RF сигнали, се употребуваат обични разделници кои не мора да пропуштаат НФ струја. Овие сплитери се нарекуваат внатрешни сплитери.
Отцепници (тапови)
Отцепниците (некои ги нарекуваат отклонители, а на англиски се нарекуваат directional couplers) се пасивни елементи со кои од главната линија на КДС се одзема сигнал, а при преминот на сигналот низ нив, внесуваат многу мало проодно слабеење. Постојат отцепници со еден, два, четири или повеќе излези и 6, 8, 12, 16, 20 или 24 dB отцепно слабеење.
Слабеењето на сигналот при преминот низ отцепниците (проодното слабеење), се намалува со зголемување на отцепното слабеење. Изолацијата помеѓу отцепениот и излезниот сигнал е голема, така што со употреба на отцепници, се обезбедува доволна изолација помеѓу приемниците на крајните корисници во КДС.

Тап за надворешна монтажа (овозможува премин на струја за напојуванје на засилувачите)
Отцепниците овозможуваат премин на сигналот и во обратна насока, со исто соодветно слабеење од својот "тап" излез, кон влезот. Ова се користи за пренос на сигнали во обратна насока, од корисниците кон главната станица.
Отцепниците кои се користат во КДС треба да имаат висок степен на оклопеност, за да се спречи пенетрација на радио-фреквенциски зрачења во системот, но истовремено да спречат израчување на RF-сигналите кои се дистрибуираат во системот, кон надвор.
Импедансата на влезот, излезот, како и на сите отцепни излези, треба да изнесува 75 оми.
Во магистралните и субмагистралните линии, освен RF сигналите се пушта и наизменичен (НФ) напон со фреквенција од 50 Hz и со напон од 60 волти. Овој напон служи за напојување на засилувачите преку кабелот. Во таквите линии на КДС се употребуваат отцепници кои ја пропуштаат струјата потребна за напојување на засилувачите (AC-Pass тап), односно надворешни тапови.

Отворен Тап за надворешна употреба

Тапови за надворешна монтажа со „F“-конектори на ТАП-излезите
Во крајните кориснички линии каде не постои напон за напојување на засилувачите, и каде по кабелот се пренесуваат само RF сигнали, се употребуваат обични отцепници кои не можат да пропуштат НФ струја – внатрешни тапови.
Конектори
Во кабелскиот дистрибутивен систем, за поврзување на коаксијалниот кабел со засилувачите, разделниците, отцепниците и другите елементи, се користат различни типови на конектори:

Во магистралните коаксијални кабелски мрежи каде се користи робустен коаксијален кабел (QR-540) со голем дијаметар и мало слабеење на сигналите, се користат специјални робусни конектори кои се местат на краевите од кабелот со специјален алат.
Во субмагистралните коаксијални мрежи каде се користи коаксијален кабел RG-11, поврзувањето се врши со 5/8" конектори, како и соодветни F-конектори за кабел RG-11.
За поврзување на корисниците со субмагистралните коаксијални мрежи се користи коаксијален кабел RG-6, со соодветни F-конектори за кабел RG-6.
Постојат неколку типови на конектори: конектори со навртување, кримп-конектори кои се монтираат со специјална „кримп“ клешта и компресиони конектори кои се монтираат со специјална клешта за компресиони конектори. Најквалитетни се компресионите конектори. Помалку квалитетни се кримп-конекторите и најнеквалитетни се конекторите на навртување.
За приклучување на кабелот кон ТВ приемниците кај крајните корисници, се користат стандардни "IEC 169-2" ТВ конектори, односно TV/F конектори.

Важна напомена околу монтирањето на конекторите
Иако на прв поглед изгледа многу лесно, сепак, при поставувањето на конекторите, без исклучок, треба да се посвети потребно внимание на секој еден конектор.
Статистички гледано, при експлоатацијата на КДС, голем број проблеми и пријавени дефекти се предизвикани од неправилно и набрзина поставени конектори.
Конекторите учествуваат со 2% од вкупната вредност на еден систем, а ги предизвикуваат 70% од проблемите во мрежата. Затоа, не треба да се штеди при купувањето на конектори туку да се инвестира во набавка на високо квалитетни конектори и да се осигура правилно поставување на истите.
Во еден КДС со неколку десетици илјади корисници има стотици илјади конектори!
Неправилно и несоодветно поставен конектор предизвикува проблеми кои потоа мошне тешко се лоцираат, одземаат многу време и се трошат многу ресурси за пронаоѓање и замена на лошо поставени конектори. Неправилно поставен конектор, освен слаб електричен спој, нема да обезбеди пропишана RF оклопеност. Како резултат на тоа, се формира „слаба точка“ во дистрибутивната мрежа од каде што навлегува шум во системот. Затоа од огромна важност е техничарите да научат правилно да поставуваат конектори и да посветат внимание при нивната инсталација во КДС.

кородирани конектори
Мора да се обезбеди надворешниот проводник на коаксијалниот кабел да има одличен контакт со конекторот за да се обезбеди потребната електрична спроводливост и во текот на подолг временски период по поставувањето. Кај правилно поставен машки “F”–конектор на кабелот, централниот проводник треба да е подолг од надворешната ивица на конекторот за околу 2 mm. Освен добриот контакт на конекторот со кабелот, потребно е да се обезбеди добар контакт на конекторот со другиот конектор при приклучувањето.
Во ниту еден случај не е дозволено кримп-конекторите при поставување на кабелот да се стегаат со обична клешта, туку само со соодветна кримп-клешта.
Покрај правилното поставување на конекторот на кабелот, потребно е правилно да се приклучи (заврти) машкиот “F”–конектор од кабелот, на приклучниот женски “F”–конектор од елементот кон кој се приклучува кабелот.
На пример, правилното завртување на машкиот “F”–конектор значи дека освен што треба да се заврти до крај “F”-конекторот со рака, треба додатно, со клешта (или со специјален „момент-клуч“) сосема малку да се затегне. Во спротивно, не добро затегнатиот “F” конектор, не може да оствари добар контакт, и со текот на времето може да се појават пречки во мрежата.

Коаксијални кабли обработени за монтажа на кримп-конектори


Планирање и проектирање на коаксијалната кабелска дистрибутивна мрежа
I Z33T home page I страници на македонски јазик I