IN3LBQ on the Hühnerspiel (Amthorspitze) - photo by IN3OTD

The GP10Y as PIN diode

GP10Y measurement setup

Small-signal loss vs bias

S-parameters measured at -20 dBm

Forward biased

Diode forward biased with currents from 1 mA to 100 mA.

GP10Y loss vs bias current

Reverse biased

Diode reverse biased with voltages from 0 V to 20 V.

GP10Y isolation vs bias voltage

Harmonics level vs power

At 1.8 MHz

Something went wrong with the reference baseline here, need to redo...

GP10Y fundamental at 1.8 MHz GP10Y H2 at 1.8 MHz GP10Y H3 at 1.8 MHz GP10Y H4 at 1.8 MHz GP10Y H5 at 1.8 MHz

At 10 MHz

GP10Y fundamental at 10 MHz GP10Y H2 at 10 MHz GP10Y H3 at 10 MHz GP10Y H4 at 10 MHz GP10Y H5 at 10 MHz

At 30 MHz

GP10Y fundamental at 30 MHz GP10Y H2 at 30 MHz GP10Y H3 at 30 MHz GP10Y H4 at 30 MHz GP10Y H5 at 30 MHz

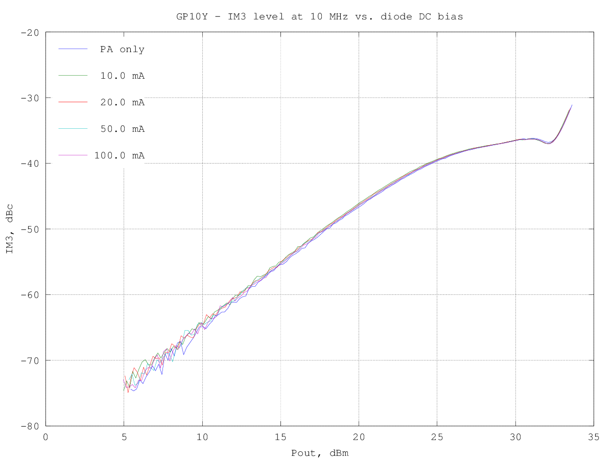
Intermodulation distortion vs power

At 1.8 MHz

GP10Y IM3 at 1.8 MHz GP10Y IM5 at 1.8 MHz GP10Y IM7 at 1.8 MHz

At 10 MHz

GP10Y IM3 at 10 MHz GP10Y IM5 at 10 MHz GP10Y IM7 at 10 MHz

At 30 MHz

GP10Y IM3 at 30 MHz GP10Y IM5 at 30 MHz GP10Y IM7 at 30 MHz