РАДИОТЕХНИКА И ЕЛЕКТРОНИКА (ПОЧЕТЕН КУРС) - ОТПОРНИЦИ
I Z33T home page I страници на македонски јазик I
ОТПОРНИЦИ
Отпорниците се пасивни електрични (електронски) елементи со две приклучни изводи кои многу често се употребуваат во речиси сите електонски уреди. Тие имаат позната електрична отпорност која е означена на самите отпорници.

Отпорниците се употребуваат за да ја ограничат електричната струја во делот од електричното коло каде што се поставени, преку пад на напонот на самиот отпорник. Исто така се употребуваат и како напонски делители, како вештачко оптоварување, како намалувачи на нивото на сигналите, како терминатори на трансмисиони линии и слично.
. . 

разни видови на отпорници
Во електричните и електронските шеми, отпорниците се означуваат со следниве симболи:
Отпорниците најчесто се изработуваат како жичени, слојни или полни (масивни)
Жичените отпорници се направени од намотана жица со определена отпорност, на тело од изолатор. Жичените отпорници делуваат како калем, па имаат свој сопствен индуктивитет кој е непожелен за употреба во високофреквентни (РФ) струјни кола. За да се намали индуктивноста, некои жичени отпорници се намотани со две жици, така што едната жица е намотана во една насока, а другата жица е намотана во спротивна насока на телото на отпорникот.

Слојните отпорници се изработени така што на едно цилиндрично тело од изолатор се нанесува слој од материја со определен електричен отпор (отпорен слој - изработен најчесто од смеса на јаглен и графит). Во зависност од вредноста на отпорот, отпорниот слој може да биде подолг или пократок. За да се зголеми ефективната должина на отпорниот слој (за отпорници со поголеми вредности на опорност), отпорниот слој се нанесува во вид на спирала:

Во радиотехниката, за употреба во високофреквентни електрични кола, најдобро е да се употребуваат неиндуктивни отпорници. Тие се излиени од смеса со определена електрична отпорност (најчесто е смеса од јаглен и графит):

Неиндуктивен полнет (масивен) отпорник:
Основна мерна единица за електричен отпор е 1ом и се означува со големата грчка буква омега (Ω). Поголеми единици од 1Ω кои најчесто се користат, се 1кΩ = 1000Ω и 1МΩ = 1 000 000 Ω. Согласно ова, вредноста на отпорниците се изразува во оми, килооми или мегаоми.
Означување на вредноста на отпорниците
Вредноста на отпорниците најчесто се означува со прстени во боја. Отпорниците со стандардните вредности на електрична отпорност се обележуваат со 4 или 5 прстени во боја, при што, последниот прстен ја означува толеранцијата. Толеранција е мерка за допуштено отстапување (изразено во проценти) од означената вредност на електричниот отпор на самиот отпорник. На следнава слика е прикажан начинот на читање на вредноста на отпорниците означени со прстени во боја:

На следнава фотографије се прикажани 9 отпорници како примери:

1. Отпорникот со реден број 1 на горнава слика ги има следниве 4 прстени во боја (од лево на десно): портокалов, портокалов, жолт, златен.
Согласно горнава табела за означување на вредностите, вредноста на отпорникот е 330000 ома, или 330к (со 5% толеранција)
2. Отпорникот со реден број 2 на горнава слика ги има следниве 4 прстени во боја (од лево на десно): жолт, виолетов, црн, златен.
Согласно горнава табела за означување на вредностите, вредноста на отпорникот е 47 ома (со 5% толеранција).
3. Отпорникот со реден број 3 на горнава слика ги има следниве 4 прстени во боја (од лево на десно): портокалов, портокалов, кафеав, златен.
Согласно горнава табела за означување на вредностите, вредноста на отпорникот е 330 ома (со 5% толеранција).
4. Отпорникот со реден број 4 на горнава слика ги има следниве 4 прстени во боја (од лево на десно): син, сив, кафеав, златен.
Согласно горнава табела за означување на вредностите, вредноста на отпорникот е 680 ома (со 5% толеранција).
5. Отпорникот со реден број 5 на горнава слика ги има следниве 4 прстени во боја (од лево на десно): црвен, црвен, портокалов, златен.
Согласно горнава табела за означување на вредностите, вредноста на отпорникот е 22000 ома, или 22к (со 5% толеранција).
6. Отпорникот со реден број 6 на горнава слика ги има следниве 4 прстени во боја (од лево на десно): сив, црвен, црвен, златен.
Согласно горнава табела за означување на вредностите, вредноста на отпорникот е 8200 ома или 8к2 (со 5% толеранција).
7. Отпорникот со реден број 7 на горнава слика ги има следниве 5 прстени во боја (од лево на десно): црвен, портокалов, црн, портокалов, кафеав.
Согласно горнава табела за означување на вредностите, вредноста на отпорникот е 230000 ома или 230к (со 1% толеранција).
8. Отпорникот со реден број 8 на горнава слика ги има следниве 4 прстени во боја (од лево на десно): кафеав, црвен, црвен, златен.
Согласно горнава табела за означување на вредностите, вредноста на отпорникот е 1200 ома или 1к2 (со 5% толеранција).
9. Отпорникот со реден број 9 на горнава слика ги има следниве 4 прстени во боја (од лево на десно): жолт, виолетов, црвен, сребрен.
Согласно горнава табела за означување на вредностите, вредноста на отпорникот е 4700 ома или 4к7 (со 10% толеранција).
Сериско поврзување на отпорници
Со сериско поврзување на отпорници, се добива поголема еквивалентна (вкупна) отпорност.
Вкупната добиена отпорност ќе биде еднаква на збирот од вредностите на отпорниците поврзани во серија.
. 

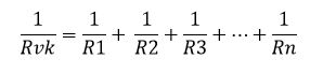
Вкупната електрична отпорност (Rvk.) добиена со поврзување на два или повеќе отпорници поврзани во серија е еднаква на:
Rvk = R1 + R2 + R3 + ... Rn
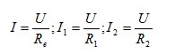
Разликата на потенцијалите (напонот) U помеѓу точките А и C е еднаков на збирот од напоните U1 и U2 на краевите од отпорниците R1 и R2:
U = U1 + U2
Низ сите отпорници поврзани во серија тече еднаква струја која изнесува I = U / Rvk. Напонот на краевите од отпорникот R1 ќе биде: U1=IR1, a напонот на краевите од отпорникот R2 изнесува U2=IR2.
Паралелно поврзување на отпорници
Со паралелно поврзување на отпорници, се добива помала еквивалентна (вкупна) отпорност.
Вкупната добиена отпорност ќе биде помала од вредноста на најмалиот отпорник што е поврзан во паралелен спој.
.
. 

На горната слика се прикажани два паралелно поврзани отпорници R1 и R2. Кај паралелно поврзаните отпорници, напонот на краевите од секој отпорник е еднаков.
Вкупната електрична струја I е еднаква на збирот од струјата I1(која тече низ отпорникот R1) и струјата I2 (која тече низ отпорникот R2):

Вкупната електрична отпорност (Rvk) добиена со поврзување на два или повеќе отпорници поврзани паралелно, се пресметува со следнава формула:
Ако само два отпорници се поврзани паралелно, тогаш за пресметување на вкупниот електричен отпор (Rvk) на двaта паралелно поврзани отпорници, може да се употреби следната поедноставна формула:
Мешовито поврзување на отпорници
При пресметување на вредноста на вкупната отпорност од поврзаните отпорници R1, R2, и R3, како на долнава слика, најнапред се пресметува еквивалентната опорност која ќе се добие од паралелно поврзаните отпорници R1 и R2, а потоа, кон така добиената отпорност се додава отпорноста на отпорникот R3 бидејќи е поврзан сериски:

Дозволено електрично оптоварување на отпорниците
Важна карактеристика на отпорниците е нивното дозволено електрично оптоварување, максимална електрична моќ на отпорниците, односно, максимална електрична струја која може да помине низ отпорникот.
Фабриката што ги изработува отпорниците ја декларира максималната моќ со која може да се оптовари отпорникот. Таа може да биде 1/8 W (0,125W), 1/4W (0,25W), 1/2W (0,5W), 1 W и така натаму. Отпорниците со помала моќ се помали по димензии од отпорниците кои можат да издржат подолема моќ.
Ако ја знаеме пропишаната моќ со која може да се оптовари отпорникот, лесно можеме да ја пресметаме максималната јачина на електричната струја која може да помине низ отпорникот, со помош на Омовиот закон:
На пример, да ја пресметаме максималната јачина на електричната струја која може да помине преку еден отпорник од 1000 оми (1к), ако пропишаната моќ на отпорникот изнесува 0,25W. Согласно горните формули ја пресметуваме максималната електрична струја со која може да се оптовари отпорникот:
Променливи и полупроменливи отпорници
Постојат променливи отпорници со три изводи. Тие најчесто имаат еден ротирачки лизгачки контакт кој допира на еден полукружен слој од материја со определен електричен отпор. променливите отпорници со рачка за нагодување се нарекуваат потенциометри и се наменети за често нагодување. На пример нагодување на јачината на звукот кај аудио засилувачот или радиоприемникот. Ако нагодувањето треба да се врши ретко (еднаш, или неколку пати, за време на нагодување на електронскиот склоп пред да се затвори во кутија), тогаш таквите променливи отпорници наместо рачка се нагодуваат со помош на шрафцигер и се нарекуваат тример потенциометри.

Потенциометрите и тример потенциометрите можат да бидат линеарни и логаритамски. Кај линеарните потенциометри, со вртење на рачката, електричната отпорност се менува линеарно. Кај логаритамските потенциометри, со вртење на рачката, отпорноста се менува логаритамски, па тие потенциометри се употребуваат за нагодување на јачината на звукот кај аудио уредите, бидејќи човечкото уво има логаритамска зависност за јачината на звукот.
На следниве фотографии се прикажани разни видови на потенциометри и тример потенциометри:







Специјални видови на отпорници
LDR (Light Dependent Resistor)
Постои еден специјален вид на отпорници кои се нарекуваат фотоотпорници (LDR - Light Dependend Resistors). Тоа се електронски елементи кои ја менуваат својата електрична отпорност под дејство на светлина. Притоа, под дејство на појака светлина, отпорноста на фотоотпорниците се намалува, а ако светлината е послаба - отпорноста е поголема:

фотоотпорници
VDR (Voltage Dependent Resistor) Варистор
Постои еден вид на отпорници кај кои електричната отпорност зависи од напонот на кој се приклучени. Ако се менува напонот, нивната отпорност исто така се менува. Тие се нарекуваат VDR (Voltage Dependent Resistor) или Варистор.
TDR (Тemperature Dpendent Resistor)
Отпорници кај кои електричната отпорност се менува во зависност од температурата, се нарекуваат TDR (Temperature Dependend Resistor) или Термистор.
NTC (Negative Temperature Coefficient) отпорници
Ако електричната отпорност на еден отпорник се намалува кога температурата се зголемува, тогаш таквиот специјален вид на отпорник се нарекува NTC (Negative Temperature Coefficient).
PTC (Positive Temperature Coefficient) отпорници
Кај овој специјален вид на отпорници, електричната отпорност се зголемува при зголемување на температурата.
I Z33T home page I страници на македонски јазик I