РАДИОТЕХНИКА И ЕЛЕКТРОНИКА (ПОЧЕТЕН КУРС) - КОНДЕНЗАТОРИ
I Z33T home page I страници на македонски јазик I
КОНДЕНЗАТОРИ
Кондензаторите се пасивни електрични (електронски) елементи со две приклучни изводи кои многу често се употребуваат во речиси сите електонски уреди. Тие имаат свој познат електричен капацитет кој е означен на самите кондензатори.
Кондензаторот претставува два меѓусебно изолирани проводници (во вид на проводни плочи, фолии, облоги и слично) поставени на многу мало растојание помеѓу нив:


Кондензаторите имаат способност да акумулираат електрични полнежи. Притоа се зголемува електричниот напон помеѓу проводните плочи на кондензаторот. Оваа способност се нарекува електричен капацитет на кондензаторите. Капацитетот на кондензаторот зависи од активната површина помеѓу проводните плочи (или облоги) кои се наоѓаат една наспроти друга, од меѓусебното растојание на тие две површини и од видот на изолаторот (диелектрикот) помеѓу нив. Како изолатор, помеѓу плочите на кондензаторот може да биде воздух (вакуум) или некој друг диелектрик, како што е хартија, лискун (тињац), пластична фолија, керамика, алуминиум оксид и друго. Во зависност од употребените материјали, кондензаторите можат да бидат хартиени, воздушни, лискунски, керамички, полиестерски, поликарбонатни, електролитски и други.
Капацитетот на кондензаторот ќе биде поголем ако површината меѓу проводните плочи е поголема, а растојанието меѓу нив е помало.
Капацитетот на кондензаторот ќе биде помал ако површината која ја зафаќаат меѓусебно проводните плочи е помала, а растојанието помеѓу нив поголемо.
Од друга страна, капацитетот на кондензаторот ќе биде поголем ако изолаторот помеѓу проводните плочи на кондензаторот има поголема диелектрична константа. Диелектричната константа на некој изолаторски материјал е број кој покажува колку пати ќе се зголеми капацитетот на кондензаторот при исти физички димензии ако наместо воздух, се употреби тој изолатор. Диелектричната константа на воздухот (и вакуумот) е еднаков на 1. Во следнава табела се дадени вредности за диелектрична константа и пробивниот напон на некои диелектрици:

Во електрониката и електронските склопови, кондензаторите имаат различна намена, на пример:
- Во осцилаторните кола (кондензатор и калем) вредноста на капацитетот на кондензаторот ја одредува резонантната фреквенција на осцилаторното коло.
- Кондензаторите служат за раздвојување на еднонасочните од наизменичните електрични струи. Притоа, кондензаторите не ја пропуштаат еднонасочната струја, а ги пропуштаат наизменичните струи сразмерно со вредноста на капацитетот на кондезаторот. Колку е поголем капацитетот на кондензаторот - толку полесно ја пропуштаат наизменичната струја. Кондензаторите со помал капацитет, можат да ја пропуштаат наизменичната струја само со повисока фреквенција. За пропуштање на наизменични струи со пониска фреквенција, кондензаторот треба да има поголем капацитет.

разни видови на кондензатори со фиксна вредност: обични (неполаризирани) и електролитски (поларизирани)

разни видови на неполаризирани кондензатори (керамички и пластични) со фиксна вредност

SMD (мали чип кондензатори)
Во зависност од механичката конструкција, кондензаторите можат да бидат со фиксен или променлив капацитет. Кај кондензаторите со фиксен капацитет, растојанието и површината на металните проводни плочи (облоги) се фиксни и непроменливи, а кај променливите кондензатори, има можност да се менува меѓусебната површина на металните проводни плочи или растојанието помеѓу нив.
Во електричните и електронските шеми, кондензаторите се означуваат со следнива симболи:

Основна мерна единица за електричен капацитет е Фарад (1F). Еден Фарад е огромна единица, па така, во пракса, најчесто се користат многу помали мерни единици и тоа: микрофарад (1µF) кој е милион пати помала единица од 1F, потоа нанофарад (1nF) кој е илјада пати помала единица од микрофарадот (1µF = 1000 nF) и пикофарад (1pF) кој е илјада пати помала единица од нанофарадот (1nF=1000 pF) и милион пати помала од микрофарадот (1µF=1000000pF).
Електролитски кондензатори
Електролитските кондензатори имаат алуминиумски електроди (ленти во вид на тенки алуминиумски фолии) а како изолатор се користи алуминиум оксид кој се нанесува на алуминиумската фолија со електрохемиска реакција. Алуминиум оксидот е проводен само во една насока, а во другата е непроводен и има улога на изолатор, па затоа таквите електролитски кондензатори се поларизирани. При приклучување во струјно коло треба да се внимава која електрода е позитивна, а која негативна. На самото тело на кондензаторот најчесто е означена негативна електрода со знакот (-) минус. Помеѓу елуминиумските фолии во кондензаторот има тенка хартија натопена со електролит. Оксидниот слој е многу тенок, но и покрај тоа, има висок на пробоен напон, па во зависност од видот на електролитскиот кондензатор, може да издржи напон до 500V. Бидејќи изолаторот е многу тенок, овие кондензатори можат да имаат многу голем капацитет ( дури до неколку илјади µF). Капацитетот на кондензаторот, работниот напон и најчесто негативната електрода се означени на самиот кондензатор.
Постојат и неполаризирани електролитски кондензатори кои имаат оксиден слој на обете алуминиумски фолии, па можат да се приклучат на еднонасочен напон без разлика на поларитетот. Исто така овие неполаризирани електролитски кондензатори можат да се приклучат и на наизменичен напон.

Електролитски кондензатори

Сериско поврзување на кондензатори
Со сериско поврзување на два или повеќе кондензатори, се добива помал еквивалентен (вкупен) капацитет, но споените кондензаторите ќе можат да издржат повисок напон.
Вкупниот капацитет ќе биде помал од најмалиот капацитет на кондензаторите кои се поврзани во серија.
.

Вкупниот електричен капацитет (Cvk.) добиен со поврзување на два или повеќе кондензатори поврзани во серија е еднаков на:
Ако само два кондензатори се поврзани со серија, тогаш за пресметување на вкупниот капацитет (Cvk) на двaта сериски поврзани кондензатори, може да се употреби следната поедноставна формула:
Вкупниот напон кој ќе се приклучи на низата од сериски поврзани кондензатори, ќе се распредели на секој од кондензаторите во обратна пропорционална зависност од нивниот капацитет:

Бидејќи капацитетот на кондензаторите од горната слика C1<C2<C3 следува дека
напоните на краевите од секој сериски поврзан кондензатор Uc1>Uc2>Uc3
Ако неколку сериски поврзани кондензатори се приклучат на некој електричен напон, тогаш напонот ќе се распредели на секој од кондензаторите во зависност од нивниот капацитет и тоа обратно пропорционално со нивниот капацитет. Колку е помал капацитетот кој го има некој од кондензаторите поврзани во серија, толку поголем дел од вкупниот напон ќе се јави на неговите краеви. Тоа значи дека на краевите од кондензаторот со најголем капацитет ќе се јави најмал напон, а на краевите од кондензаторот со најмал капацитет ќе се јави највисок напон, па на тоа треба да се внимава! Ова е прикажано на следнава слика:

Разликата на потенцијалите (напонот) U помеѓу точките А и B е еднаков на збирот од напоните U1, U2 и U3 на краевите од кондензаторитеC1, C2 и C3:
U = U1 + U2 + U3
Пример1: Ако два кондензатори (едниот со двојно помал капацитет од другиот, на пример C1=100nF и C2=200nF) се поврзани во серија и се приклучат на некој електричен напон (на пример 30V), тогаш напонот кој ќе се јави на краевите од кондензаторот со двојно помал капацитет, ќе биде двојно повисок, па на тоа треба да се внимава! Ова може да се види на следнава слика:

Пример1: Ако кондензатори со ист капацитет, на пример C1 = C2 = 200nF, се поврзани во серија и се приклучат на некој електричен напон (на пример 30V), тогаш вкупниот напон ќе се распредели подеднакво на секој од сериски поврзаните кондензатори, односно напонот кој ќе се јави на краевите од секој кондензатор со ист капацитет ќе биде ист. Тоа може да се види на следнава слика:

Паралелно поврзување на кондензатори
Со паралелно поврзување на два или повеќе кондензатори, се добива поголем еквивалентен (вкупен) капацитет. Притоа, напонот кој ќе можат да го издржат кондензаторите си останува ист, односно ќе биде еднаков на најмалиот максимален напон на некој од кондензаторите кои се поврзани паралелно.

Вкупниот капацитет ќе биде еднаков на збирот од капацитетот на кондензаторите поврзани паралално:
Cvk =C1 +C2 +C3 + ...Cn

напонот на краевите на сите кондензатори кои се поврзани паралелно е ист
Мешовито поврзување на кондензатори
Кондензаторите можат да се поврзуваат меѓусебно на разни начини. Притоа, дел од кондензаторите можат да бидат поврзани во серија, а потоа и паралелно со други кондензатори и обратно. Еве неколку примери:
При пресметување на вредноста на вкупниот капацитет од поврзаните три кондензатори прикажани на долната слика, најнапред се пресметува еквивалентниот капацитет кој ќе се добие од паралелно поврзаните кондензатори од по 20nF(со собирање се добива вредност од 40nF), а потоа, на така добиената вредност, се пресметува вкупниот капацитет заедно со кондензатотот од 10 nF, применувајќи ја формулата за пресметување на капацитет на сариски поврзани кондензатори. Вкупниот капацитет на сите три кондензатори од долната слика изнесува 8nF.

При пресметување на вредноста на вкупниот капацитет од поврзаните три кондензатори прикажани на долната слика, најнапред се пресметува еквивалентниот капацитет кој ќе се добие од паралелно поврзаните кондензатори од 33nF и 47nF (со собирање се добива вредност од 80nF), а потоа, на така добиената вредност, се пресметува вкупниот капацитет заедно со кондензатотот од 10 nF, применувајќи ја формулата за пресметување на капацитет на сариски поврзани кондензатори. Вкупниот капацитет на сите три кондензатори од долната слика изнесува 8.89nF.

При пресметување на вредноста на вкупниот капацитет од поврзаните четири кондензатори прикажани на долната слика, најнапред се пресметува еквивалентниот капацитет кој ќе се добие од сериски поврзаните кондензатори од по 60nF(се добива вредност од 20nF), а потоа, кон така добиената вредност, се додава капацитетот на кондензаторот од четвртиот кондензатор (со вредност од 20 nF) бидејќи е поврзан паралелно со претходните три. Вкупниот капацитет на сите четири кондензатори од долната слика изнесува 40nF.

При пресметување на вредноста на вкупниот капацитет од поврзаните четири кондензатори прикажани на долната слика, најнапред се пресметува еквивалентниот капацитет кој ќе се добие од трите сериски поврзани кондензатори од по 33nF (се добива вредност од 11nF), а потоа, кон така добиената вредност, се додава капацитетот на кондензаторот од 100 nF бидејќи е поврзан паралелно со претходните три. Вкупниот капацитет на сите четири кондензатори од долната слика изнесува 111nF.

Максимален електричен напон на кој смее да се приклучи кондензаторот
Важна карактеристика на кондензаторите е нивниот дозволен работен електричен напон, односно максимален електричен напон, на кој смее да се приклучи кондензаторот.
Фабриката што ги изработува кондензаторите ја декларира максималната вредност на електричниот напон со која може да се оптовари кондензаторот. Кондензаторите со иста вредност на капацитет но кои издржуваат повисок напон, најчесто имаат поголеми димензии од оние кои издржуваат понизок напон (тоа зависи од видот на диелектрикот помеѓу проводните плочи на кондензаторот)
Променливи и полупроменливи кондензатори
Променливите кондензатори имаат неподвижни и подвижни метални плочки. Кај променливите кондензатори, има можност да се менува меѓусебната површина на металните проводни плочи или растојанието помеѓу нив. Капацитетот на променливите кондензатори можеме често да го менуваме, во зависност од потребата, со завртување на подвижните плочки, така што ја менуваме активната површина помеѓу неподвижните и подвижните плочки.
Променливите и тример-кондензаторите се означуваат со следниве симболи:

Кај променливите кондензатори со многу мал вкупен капацитет, менувањето на капацитетот може да се врши со менување на растојанието помеѓу проводните плочи на кондензаторот. Ова често се употребува кај променливи кондензатори за многу високи фрекевенции, каде капацитетот на кондензаторите во осцилаторните кола е многи мал.
Променливите кондензатори можат да имаат различни изолатори: воздух, лискун, пластични фолии и слично.
Променливите кондензатори имаат рачка за вртење на подвижните плочки, а кај полупроменливите кондензатори вртењето на подвижните плочки се врши со шрафцигер, бидејќи тие немаат рачка, затоа што кај нив капацитетот се менува многу ретко (на пример, при нагодување на електронскиот уред, пред да се затвори во кутијата). Полупроменливите кондензатори се нарекуваат тример-кондензатори.

променливи кондензатори и полупроменливи тример-кондензатори

променлив кондензатор со две секции од по 500 pF максимален капацитет
Капацитивен отпор
Ако кондензаторот е вклучен во струјно коло на еднонасочна струја, (ако се изземе првиот момент на вклучувањето), тогаш тој не ја пропушта електричната струја, бидејќи меѓу проводните плочи (фолии) на кондензаторот се наоѓа диелектрик (изолатор). Според тоа, ако некој кондензатор биде вклучен во електрично коло со извор на еднонасочна струја, тој ќе се однесува како отпорник со бескрајно голем отпор.
Ако истиот кондензатор се вклучи во струјно коло на наизменична струја, кондензаторот ќе се однесува како “проводник” кој има свој отпор. Отпорот на кондензаторот ќе биде помал, доколку неговиот капацитет е поголем. Исто така, кондензаторот ќе има помал отпор ако фреквенцијата на наизменичната струја е поголема. Отпорот на кондензаторот се вика капацитивен отпор и се бележи со Rc . Капацитивниот отпор се определува од следнава равенка:
каде (f) е фреквенцијата на наизменичнатра струја изразена во херци (Hz), а C e капацитетот на кондензаторот изразен во фаради (F)
- - - - - - - - - - - - - - - - - - - - -
Дополнителни информации формули, примери, пресметки и задачи за вежбање
Ако кондензаторот се состои од две паралелни плочести проводници, тогаш го нарекуваме плочест кондензатор.
Капацитетот на плочест кондензатор можеме да го пресметаме со следнава формула:
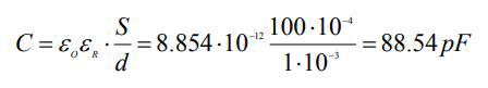
Задача1: Колкав e капацитетот на плочест кондензатор составен од две паралелни лимени плочи со површина од 100cm2 на растојание од 1mm една од друга (помеѓу плочите има воздух како диелектрик)?
Решение: Капацитетот на плочест кондензатор составен од две паралелни лимени плочи со површина од 100cm2 на растојание од 1mm една од друга (помеѓу плочите има воздух како диелектрик) изнесува 88,54 pF :
Задача2: Еден кондензатор е направен од две рамни лимени плочи во облик на квадрат со страници а=10cm, кои се наоѓаат на меѓусебно растојание d=4mm (помеѓу плочите се наоѓа воздух). Колкав ќе биде капацитетот кога тој кондензатор до половина се потопи во масло, на два начина кои се прикажани на сликата подолу. Релативната диелектричност на трансформаторското масло изнесува 2,2, а диелектричната константа на вакуумот изнесува 8,854 pF/m.
Задача3: Променлив кондензатор со рамни плочи и со вкупен капацитет од 100 pF, е наполнет со приклучување на електричен извор на напон U=100V. Што ќе се случи кога ќе го отспоиме изворот на напон, а потоа со вртење на рачката на променливиот кондензатор го намалиме капацитетот на кондензторот на половина, односно на 50 pF?
Од решението на оваа задача, гледаме дека ако променлив кондензатор (кога е наместен на максимален капацитет) го наполниме со електричен напон, а потоа изворот на напонот го отспоиме, и со вртење на рачката на променливиот кондензатор го намалуваме капацитетот на кондензаторот, помеѓу плочите на кондензаторот ќе се јави многу повисок напон, па на ова треба да внимаваме!
Задача4: Колкава енергија може да акумулираат електролитските кондензатори во напојувањето на еден РФ линеарен засилувач со лампи, ако капацитетот на кондензаторите изнесува 750µF, а работниот напон изнесува 3000V?
Како што можеме да заклучиме од решението на оваа задача, кај кондензаторите, особено кај оние со голем капацитет и висок работен напон, може да се складира огромна количина на енергија, која е многу опасна и може многу лесно да убие човек, дури и после исклучувањето на електричниот уред од електричната струја! Затоа треба да се биде многу внимателен при ракувањето со наполнети кондензатори!
Од резултатот на горнава задача гледаме дека во кондензаторот може да се складира енергија од дури 3375 џули. За споредба, ќе наведам дека куршумот од популарната автоматска пушка „Калишников“ на излезот од цевката на пушката има максимална енергија од 3304 џули, која се намалува со растојанието. Значи гледаме дека во горниов пример на нашата задача, енергијата акумулирана во кондензаторот е поголема и од енергијата на куршумот на пушката „Калишников“! Максималната енергијата на куршумот од американската автоматска пушка „М16“ изнесува 1767 џули, а максималната енергија на куршум од малокалибарска пушка изнесува 140 џули.
I Z33T home page I страници на македонски јазик I