РАДИОТЕХНИКА И ЕЛЕКТРОНИКА (ПОЧЕТЕН КУРС) - КАЛЕМИ, НАМОТКИ, ИНДУКТИВИТЕТИ
I Z33T home page I страници на македонски јазик I
КАЛЕМИ, НАМОТКИ, ИНДУКТИВИТЕТИ
Под поимот калем или намотка, во радиотехниката подразбираме една или повеќе навивки на жица намотани во еден или повеќе слоеви, на некое тело или самостојно (без тело)
Калемот е радиотехнички пасивен елемент кој има определена индуктивност. Во литературата во зависност од авторот, калемите често се нарекуваат намотки, индуктивитети, соленоиди и слично.

Во електричните и електронските шеми, калемите се означуваат со следнива симболи:

Калемите најчесто се употребуваат во струјни кола со наизменична струја. Притоа, наизменичната струја може да биде со ниска фреквенција, односно нискофреквентна (НФ) струја, а може да биде и струја со висока фреквенција, односно високофреквентна (ВФ) струја. Тогаш калемите се употребуваат како дел од НФ или ВФ трансформатори, како дел од осцилаторни кола, потоа како придушници или како дел од филтри за издвојување на електрични струи со определени фреквенции и слично.
Во струјни кола со еднонасочна електрична струја, калемите се употребуваат како електромагнети:
Калемите најчесто се намотани со бакарна жица изолирана со лак. Кога се употребуваат во струјни кола за многу високи фреквенции, калемите имаат мал број на навивки (намотани без тело - самостојно) и тогаш жицата може да биде и неизолирана, со поголем дијаметар за да биде механички цврста и стабилна. Калемите за многу високи фреквенции можат да бидат намотани и со бакарна цевка (која може да биде дури и посребрена, поради таканаречениот „скин-ефект“ при струи со многу високи фреквенции) за да има што помал електричен отпор.

Во струјно коло со еднонасочна електрична струја, калемите се однесуваат како отпорници со многу мал електричен отпор (во зависност од должината и дијаметарот на жицата)
Секој калем има определена индуктивност. Основна мерна единица за индуктивност е хенри (H), а во радиотехниката најчесто се употребуваат помали единици, милихенри (mH), микрохенри (µH) и нанохенри (nH). 1H = 1000 mH, 1mH = 1000 µH, 1µH = 1000 nH.
Во струјно коло со наизменична струја, калемите имаат поголем отпор отколку при истонасочната струја и тоа пропорционално со индуктивноста на калемот и со фреквенцијата на струјата. Тоа се нарекува индуктивна отпорност. Индуктивниот отпор на калемот ќе биде поголем ако фреквенцијата на наизменичната струја е поголема. Исто така, индуктивниот отпор на калемот ќе биде поголем доколку индуктивноста на калемот е поголема.
Индуктивноста на калемот ќе биде поголема ако:
- Калемот има поголем број на навивки;
- Должината на калемот е помала (при ист број на навивки);
- Дијаметарот на калемот е поголем;
- Јадрото на калемот има поголема пермеабилност.
Oва е илустрирано на следниве слики:





Калемите можат да се мотаат на разни феритни јадра. Некои од нив се прикажани на следниве слики:



Калемите се елементи кои радиоаматерите и радиотехничарите најчесто ги изработуваат сами. На следните две фотографии се прикажани калеми мотани на цилиндрични тела изработени од свиткана хартија во повеќе слоеви и залепена со лепак. Дијаметарот на отворот на хартиеното цилиндрично тело одговара на дијаметарот на феритното стапче кое се вовлекува во внатрешноста на хартиениот цилиндар и на тој начин се зголемува индуктивноста на калемот:


Ако феритното стапче се вовлече повеќе во телото на калемот, тогаш индуктивноста ќе се зголеми и обратно. На тој начин, може да се менува индуктивноста на калемот, односно велиме дека тоа е калем со променлива индуктивност:

Калемите, слично како и отпорниците можат да се поврзуваат сериски, паралелно и мешовито, а пресметувањето на вкупната индуктивност на поврзаните калеми е исто како и пресметувањето на вкупната отпорност на поврзаните отпорници.
Сериско поврзување на калеми
Со сериско поврзување на калеми, се добива поголема еквивалентна (вкупна) индуктивност.
Вкупната добиена индуктивност ќе биде еднаква на збирот од вредностите на индуктивностите на калемите поврзани во серија.
. 
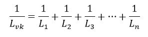
Вкупната електрична индуктивност (Lvk.) добиена со поврзување на два или повеќе калеми поврзани во серија е еднаква на:
Lvk = L1 + L2 + L3 + ... Ln
Низ сите калеми поврзани во серија тече еднаква струја.
Паралелно поврзување на калеми
Со паралелно поврзување на калеми, се добива помала еквивалентна (вкупна) индуктивност.
Вкупната добиена индуктивност ќе биде помала од вредноста на најмалата индуктивност на калемот што е поврзан во паралелен спој.
. .
Вкупната електрична индуктивност (Lvk) добиена со поврзување на два или повеќе калеми поврзани паралелно, се пресметува со следнава формула:
Кај паралелно поврзаните калеми, напонот на краевите од секој калем е еднаков.
Вкупната електрична струја ќе биде еднаква на збирот од струите кои течат низ секој калем поединечно.
Ако само два калеми се поврзани паралелно, тогаш за пресметување на вкупната индуктивност (Lvk) на двaта паралелно поврзани калеми, може да се употреби следната поедноставна формула:
Дозволено електрично оптоварување на калемите
Важна карактеристика на калемите е нивното дозволено електрично оптоварување. Максималната јачина на електричната струја која е дозволена да поминува преку калемите е ограничена од пресекот на жицата со која е мотан калемот, но и од видот и големината на јадрото на калемот.
Калеми со променлива и полупроменлива индуктивност
Постојат калеми со променлива и полупроменлива индуктивност. Во пракса, калеми со променлива индуктивност, ретко се користат, зашто ваквите елементи се механички тешко изводливи, гломазни и релативно скапи. На следниве слики се прикажани такви „вртливи“ калеми со променлива индуктивност:



Многу почесто се употребуваат калеми со полупроменлива индуктивност. Тоа се такви елементи кај кои индуктивноста се нагодува еднаш-двапати со погоден шрафцигер од изолаторски материјал (за да нема влијание металот од шрафцигерот на индуктивноста на калемот). Тоа се прави најчесто при нагодување на електронскиот уред пред негово затворање во кутија.
. 
Со пластичен шрафцигер се врти јадрото на калемот и се менува индуктивноста. Јадрото е направено во вид на шраф кој вртејки се, навлегува повеќе или помалку во цилиндричното пластично тело на кое е намотан калемот. На тој начин се менува индуктивноста. Доколку јадрото со вртење навлезе повеќе во телото на калемот, тогаш индуктивноста се зголемува и обратно.

калеми на пластично цилиндрично тело и феритно јадро
во вид на шраф кој може да се движи во внатрешноста
на калемот и на тој начин да се менува индуктивноста

При изработка на детекторски приемник, радио станиците, односно приманата фреквенција се менува со менување на индуктивноста на калемот. Таков калем со променлива индуктивност лесно може да се направи, а е прикажан на следнава слика:

Понекогаш, наместо калем со променлива индуктивност, се прави калем со изводи, а индуктивноста може да се менува „скоковито“ со преклопник:

Разни типови на калеми - придушници:

Како „работат“ калемите?
Калемот може да се набљудува како отпорник за наизменична струја. Тој се спротивставува на секоја промена на електричната струја и има способност да ја складира енергијата во форма на магнетно поле. На долната слика е прикажан еден калем кој се состои од бакарна жица намотана околу јадро:

Јадрото може да биде од магнетен материјал или од воздух. Доколку јадрото на калемот не е воздух туку е изработено од магнетен материјал, тоа е најчесто во форма на цилиндар или торус (тороид). Кога во намотката на калемот поминува електрична струја, таа продуцира магнетно поле околу проводникот. Доколку јадро од магнетен материјал се постави во внатрешноста на намотката, магнетните силови линии ќе бидат побројни, односно магнетното поле ќе биде посилно.
Промената на магнетното поле (кај наизменичната струја или во моментот на вклучување/исклучување на еднонасочната струја) ќе индуцира електромоторна сила во намотката, што резултира со течење на индуцирана електрична струја. Согласно Ленцовиот закон, насоката на индуцираната струја е таква што таа со своето магнетно поле се спротивставува на промената на магнетниот тек кој е причина за нејзино настанување. Тоа значи дека ндуцираната електрична струја се спротивставува на причината која ја предизвикала, а тоа е магнетното поле формирано од влезната (примарната) електричната струја во намотката од калемот. На тој начин, калемот (индуктивитетот) се спротивставува на промена на примарната струја која би довела до промена на магнетното поле. Ова спротивставување на промената на струјата се нарекува индуктивен отпор (индуктивна реактанса) Индуктивниот отпор се зголемува со зголемување на бројот на навивки на калемот. Поради индуктивниот отпор, калемот има способност да „складира’ енергија во вид на магнетно поле преку процесите на „полнење“ и „празнење’, а потоа да ја ослободува таа енергија во моментот на исклучување или вклучување на струјното коло.
Уште малку објаснување со дуги зборови:
Ако низ даден проводник протече електрична струја, околу него се создава магнетно поле. Секоја промена на јачината и насоката на струјата предизвикува соодветна промена и на магнетното поле. Под дејството на промените на магнетното поле, се индуцира ЕМС во истиот проводник. Оваа појава е наречена самоиндукција. Електромоторната сила (ЕМС) што се јавува во проводникот под дејството на промените на магнетното поле создадено од струјата што тече низ него, се вика самоиндуцирана ЕМС. Самоиндуцираната ЕМС има секогаш обратна насока на примарната струја, што е причина за нејзиното настанување, па на тој начин се „спротивставува“ на примарната струја. Самоиндуцираната ЕМС (Електромоторна сила) се јавува при влучување и исклучување на прекинувачот во струјно коло со еднонасочна струја, или при секоја промена на насоката на наизменичната струја во струјно коло со наизменична струја.
Самоиндуцираната ЕМС што ја создава електромагнетот (калем со железно јадро), при исклучувањето на струјниот круг, во некои случаи може да биде поголема и од примарната ЕМС на изворот. Самоиндуцираната струја која се јавува при исклучувањето на струјното коло, се вика екстра струја. Екстра- струите се штетни за прекинивачите. При исклучувањето на струјното коло, тие создаваат искри кои можат дури да ги истопат контактите на пртекинувачот. Во струјни кола каде што се вклучени калеми од јаки електромагнети, трансформатори и генератори, екстра-струите можат да создадат искри долги и до 1 метар. Затоа, во тие струјни кола, паралелно со прекинувачот се вклучува еден или повеќе кондензатори, кои имаат за задача да ги задржат екстра-струите во себе.
Како е однесува калем со определена индуктивност во електрично коло?
Калемите во електричното коло се однесуваат согласно големината на својата индуктивност, што претставува способност да акумулираат определено количество на енергија во магнетното поле. Ова ќе го илустрирам со помош на еден прост пример со водено тркало:

Ајде да замислиме дека имаме една река со брана во каналот кон водено тркало. Кога браната ја подигнеме и водата го погоди воденото тркало, водената струја ќе се забави додека воденото тркало од состојба на мирување, се придвижи под дејство на водата и ја постигне брзината на водената струја. Овој сегмент е аналоген на процесот на „полнење“ на калемот во почетниот момент кога ќе се вклучи електричната струја додека да се воспостави магнетнотo поле..
Потоа да замислиме дека ја спуштиме браната и нагло ја запреме водата кон воденото тркало, кое иако е запрена водата, се врти уште извесно време, полека смалувајќи ја својата брзина на вртење, се додека потполно не застане во мирна положба. Овој сегмент е аналоген на процесот на постепено снемување на магнетното поле околу калемот, иако нагло сме ја исклучиле електричната струја во калемот.
Ова делува многу едноставно, нели? Но како може да се искористи способноста на калемот за складирање и ослободување на електричното полнење? Еве неколку примери:
Калемот како „пеглач“ на наизменичната струја
Кога на излезот од адаптерот за напојување има потреба да се добие електричната струја која треба да биде еднонасочна, чиста како од акумулатор и мазна“ без бранувања на напонот, брум или „шпицови“ и остатоци од наизменичната компонента, тогаш, може да се употреби калем со поголема индуктивност. Калемот со своето магнетно поле ќе помогне да се стабилизира електричната струја и да се намалат бранувањата на напонот. Во моментот (при појава на брум) кога се јавува намалување на напонот кој треба да биде стабилен, резервите во магнетното поле на калемот се користат за да се „испумпа“ струја и напонот да се врати назад. На тој начин се добива „помазна“ електрична струја со помало бранување на напонот, односно електричната струја е „испеглана“. Тоа е илустрирано на следнава слика:

Kалемот како сензор
Калемот може да се употребува и како сензор за железни или магнетни предмети. Со доближување на метален предмет до калемот, всушност се зголемува индуктивноста на калемот и се зголемува магнетното поле. Ова може да се употреби во сообраќајот за да се регистрира дали има возило што чека пред семафорот, за потоа, автоматски да се сменат светлата на семафорите. Тоа е илустрирано на следната слика:

Калеми (индуктивитети) мотани на торусно јадро
Калемите намотани на торусно јадро имаат определени предности во однос на калемите мотани на цилиндрично тело или јадро. Магнетниот тек во торусното јадро на калемот е затворен и ограничен внатре во торусот, така што, многу мал дел од магнетното поле излегува надвор од внатрешноста, па тоа е голема предност бидејќи калемите со торусно јадро не треба да се оклопуваат и имаат многу помало влијание и интеракција со околината.

Според материјалот од кои се изработени, торусните јадра се поделени главно на два вида, торусни јадра од пресувана железна прашина и торусни јадра од феритен материјал. Торусните јадра се изработуваат во повеќе стандардни големини. Торусите кои имаат поголеми димензии можат да поднесат и поголема моќ. Торусите се произведуваат за различни намени и за разни фреквенциски подрачја во зависност од видот на материјалот од кој се изработени. На следните две фотографии можат да де видат разни типови на торусни јадра:


Мотањето на калем на торусно јадро со една намотка е многу лесно. Секое поминување на жицата низ отворот от торусот се брои како една навивка. Навивките треба да се распоредат околу торусното јадро, колку што е можно на правилно меѓусебно еквидистантно растојание помеѓу секоја од навивките, така што краевите на намотката да зафаќаат агол од околу 15 до 30 степени помеѓу почетокот и крајот. Не треба премногу да се доближуваат почетокот и крајот на калемот, за да се избегне можното меѓусебно капацитивно влијание. На следнава слика е прикажан калем намотан на торусно јадро со 22 навивки:

Еве неколку други примери:
Калемите можат да се мотаат во насока на движење на стрелките на часовникот или во насока спротивно од движењето на стрелките на часовникот. Притоа нема никаква разлика дали калемот ќе биде мотан на едниот или на другиот начин. Важно е да се запамети дека доколку калемот (трансформаторот) е составен од две или повеќе намотки на едно исто јадро, сите намотки мора да се бидат намотани во иста насока!
Понекогаш, поради сместување на намотаниот калем и залемување на печатената плочка, треба да се внимава на насоката на мотање, за да може калемот да се смести правилно и краевите на жицата да се протнат низ соодветните дупки на печатената плочка кои се претходно издупчени на плочката.
На следната слика се прикажани два калеми мотани на торусно јадро, секој со по 20 навивки. Калемот од лево е мотан во насока на движење на стрелките на часовникот, а калемот од десно е мотан во насока спротивна надвижењето на стрелките на часовникот:
На следната слика исто така се прикажани два калеми мотани на торусно јадро, секој со по 10 навивки. Калемот од лево е мотан во насока на движење на стрелките на часовникот, а калемот од десно е мотан во насока спротивна надвижењето на стрелките на часовникот. Со црвени стрелки е прикажано соодветното место на печатената плочка предвидено за секој од калемите. Ако се заменат местата на калемите, тогаш нема да може да се сместат и залемат правилно:

Пресметување на индуктивноста на еднослоен цилиндричен калем без јадро (јадрото е воздух)
Во радиоаматерската пракса често се употребуваат еднослојни цилиндрични калеми. Пресметувањето на индуктивноста на еднослоен цилиндричен калем без јадро (воздушно јадро), како самостоен калем или намотан на тело од цилиндрична цевка со тенки ѕидови од изолатор може да се направи по следнва формула:
Каде што:
L = индуктивност на калемот во µH
D = дијаметар на калемот во cm
N = број на навивки на калемот
К = фактор кој зависи од односот помеѓу должината и дијаметарот на калемот и се определува од следниов дијаграм:

Пример: Да се пресмета колкава индуктивност има калем кој има 10 навивки, дијаметарот на калемот е 1 cm, а должината е 2 cm.
Најнапред го пресметуваме односот помеѓу должината и дијаметарот на калемот, а тоа е еднакво на 2/1=2. Потоа на дијаграмот ја отчитуваме вредноста на факторот „К“ кој (за однос помеѓу должината и дијаметорот од 2), изнесува 0.004. Потоа, во формулата ги заменуваме вредностите и добиваме:
Значи, индуктивноста на калем без јадро (јадрото е воздух), со 10 навивки, должина 2cm и дијаметар 1cm, изнесува 0.4µH или 400nH.
Одлична „онлајн-интернет“ програма за пресметка на сите параметри на еднослојни цилиндрични калеми има на овој линк.
Пресметување на индуктивноста на калем намотан на феритен торус
Сите информации во врска со феритните торуси и пресметки на индуктивноста на калеми намотани на торуси или број на намотки за дадена индуктивност, можете да ги најдете на овој линк.
Q-Фактор, односно „квалитет“ на калемите
Употребливоста на некој радио-технички елемент за некои фреквенции се карактеризира со односот на неговиот привиден отпор X и реалниот отпор R:
Овој отпор се нарекува фактор на квалитетот или во практиката “ Q -фактор” на елементот. Колку е тој поголем, елементот за дадената фреквенција е поквалитететен.
Q- факторот или квалитетот на калемот се дефинира како:
За калемите кои се употребуваат во радиотехниката, во пракса, Q-факторот има вредност од неколку десетици до неколку стотици. Q-факторот кај калемите зависи од повеќе параметри, меѓу кои дијаметарот на жицата со која е мотан калемот, димензиите и обликот на калемот за дадена фреквенција,
Скин-ефект
Реалната или омската отпорност на еден проводник е еднаква за еднонасочната и наизменичната електрична струја се додека фреквенцијата на наизменичната струја е ниска, до неколку kHz. При повисоки фреквенции густината на струјата не е еднакво распоредена по целиот пресек на проводникот и електричната струја има тенденција да тече блиску до површината на проводникот. Оваа појава се нарекува „скин-ефект“ (на англиски skin = кожа, лушпа, површински слој)
Колку фреквенцијата на струјата е повисока, толку таа протекува само по еден многу тенок површински слој на проводникот. Поради појавата на скин-ефектот, се намалува корисниот пресек на проводниците кои пренесуваат електрични струи (сигнали) со високи фреквенции, што резултира со зголемување на отпорот. Затоа калемите за повисоки фреквенции се изработуваат со жица која има поголем дијаметар, па дури во некои случаи, површината на бакарната жица може да биде посребрена за отпорот да биде што помал.
Меѓусебно влијание на калеми кои се на блиско растојание еден од друг
При монтирање на калемите, треба да се внимава на нивното правилно позиционирање и ориентирање за да се избегне меѓусебното влијание помеѓу нив (освен ако калемите не се дел од РФ-трансформатор без јадро, па позиционирањето да треба да се изведе на точно определено растојание еден од друг).
Меѓусебното влијание на цилиндричните калеми е особено изразено, па така, треба да се монтираат на поголемо растојание еден од друг и така што оските на калемите меѓусебно да зафаќаат акол од 90 степени (бидејќи тогаш влијанието е најмало). Во поголем број на случаи, калемите треба да бидат „оклопени“ или барем да има некаква метална преграда помеѓу нив за да се намали меѓусебното влијание.
Меѓусебното влијание на калеми кои се мотани секој на засебно торусно јадро е многу мала, па така, торусните калеми имаат предност во однос на цилиндричните калеми, особено за фреквенции под 30 MHz.
Означување на вредноста на на индуктивноста на калемите (индуктивитетит, односно придушници)
Слично како кај отпорниците, вредноста на калемите (индуктивитети, односно придушници) кои се произведуваат во стандардни вредности, најчесто се означува со прстени во боја. На следнава слика е прикажан начинот на читање на вредноста на калемите означени со прстени во боја:

I Z33T home page I страници на македонски јазик I