ЕЛЕКТРИЦИТЕТ, ЕЛЕКТРИЧНА СТРУЈА И ЕЛЕКТРОМАГНЕТНИ БРАНОВИ
I Z33T home page I страници на македонски јазик I
ЕЛЕКТРИЦИТЕТ, ЕЛЕКТРИЧНА СТРУЈА
И ЕЛЕКТРОМАГНЕТНИ БРАНОВИ
Електрицитет
Во природата насекаде околу нас постојат електрични и магнетни сили. Електрицитетот е поврзан со самата материја. Материјата е составена од атоми, а атомите се составени од субатомски честици. Најмалото количество на електрицитет го поседуваат субатомските честици. Електроните се носители на негативен електрицитет додека јадрото на атомот е со позитивен електрицитет.
Основна електрична појава во природата е делувањето на привлечните и одбивните сили помеѓу наелектризираните тела и честици.
Електричните сили се предизвикани од два вида на електрицитет познати како позитивен и негативен електрицитет.
Помеѓу две честици или тела со ист вид на електрицитет делуваат одбивни сили а помеѓу две тела или честици со различен вид на електрицитет делуваат привлечни сили. Просторот во кој делуваат овие сили се нарекува електрично поле. Секое тело во тоа електрично поле поседува одредено количество на електрицитет кое се нарекува електричен потенцијал на тоа тело.
Електрична струја и потенцијална разлика
или електричен напон
Помеѓу две тела (или две точки) кои се во различна електрична состојба, било по количество или по вид на електрицитет, постои потенцијална разлика.
Разликата на потенцијалите помеѓу две наелектизирани тела (или две точки) се нарекува потенцијална разлика или напон (електромоторна сила). Основна единица за мерење на потенцијалната разлика (напон) е 1Волт (V).
Носители на електрицитетот во цврстите материи (проводници) се слободните електрони, а во течностите се јоните. Материите кои немаат слободни носители на електрицитетот (електрони или јони) се нарекуваат изолатори.
Слободните носители на електрицитет кои ќе се најдат во електрично поле помеѓу две наелектризирани тела се движат или кон едното, или кон другото тело, односно од телото со повисок потенцијал, кон телото со понизок потенцијал. Ова движење е насочено и го нарекуваме електрична струја.
Значи да запомниме: Насоченото движење на електрични полнежи (електрони или јони) се нарекува електрична струја.
Иако електроните кои се негативно поларизирани бидуваат привлечени, односно се движат кон точката со позитивен, односно повисок потенцијал, сепак, условно е земено (договорено) дека електричната струја секогаш има насока од точка со повисок (позитивен) потенцијал кон точка со понизок (негативен) потенцијал.
Движењето на носителите на електрицитет може да биде движење на слободни електрони или движење на јони. Во практичната електротехника најчесто се користи појавата на движење на електрони кое може да биде на два начина:
- Ако електроните имаат слободен пат, па секој поединечен електрон го преоѓа целиот пат од негативниот до позитивниот пол, се зборува за електронска струја. Ова движење е најчесто релативно кратко, на пример, внатре во електронската цевка (електронска лампа).
- Кога електроните немаат слободен пат (на пример во цврстите материјали), тогаш електроните осцилираат околу својата рамнотежна положба, а движењето се одвива ланчено или „штафетно“ односно еден електрон ја предава енергијата на следен и така со ред. Тоа се нарекува електрична струја.
Слободните електрони во проводниците се движат хаотично во зависност од температурата. За да се предизвика насочено движење на електроните или електрична струја по должината на еден проводник неопходно е да постои потенцијална разлика помеѓу две точки на проводникот. Колку е поголема потенцијалната разлика, толку е поголема брзината со која се движат слободните електрони.
Треба да се забележи дека за да има потенцијална разлика помеѓу две тела или помеѓу две точки, не е неопходно едното тело да има негативен а другото позитивен електрицитет. На пример, ако и двете тела имаат негативен потенцијал, но едното тело има поголем негативен потенцијал од другото, тогаш телото кое има релативно помалку негативен потенцијал ќе игра улога на позитивен потенцијал во однос на другото тело.
Електрични проводници и електрични изолатори
Оние материи кои имаат голем број на слободни електрони ги нарекуваме електрични проводници, а оние материи кои имаат мал број на слободни електрони ги нарекуваме електрични изолатори.
Металите се добри проводници на елекрична струја. Среброто, бакарот и алуминиумот се најдобри проводници. Генерално, електричната отпорност на металите се зголемува со температурата, додека отпорноста на полупроводниците се намалува со зголемување на температурата. Ако температурата на проводникот се излади под некоја критична температура, електричната отпорност нагло опаѓа. Кај некои проводници отпорноста при доволно ниска температура (блиска до апсолутната нула = -273° C) опаѓа до нула. За проводниците во таква состојба велиме дека се суперпроводници.
Од друга страна, добри електрични изолатори се стаклото, керамиката, тефлонот, пластиката, воздухот и сл.
Поделбата на проводници и изолатори е груба и крајно екстремна поделба. Помеѓу проводниците и изолаторите постои голема група на материи кои во себе можат да имаат носители на електричество, но под одредени услови: промена на притисокот, температурата, разни видови зрачења, електрично поле, светлост и сл. Овие материјали се нарекуваат полупроводници (силициум, германиум, галенит, галиум, селен, индиум и др.)
Јачина на електричната струја
Ако помеѓу два краја на еден проводник постои потенцијална разлика, тогаш ќе „потече“ електрична струја. Притоа слободните електрони не патуваат од едниот крај на проводникот кон другиот. Напротив, секој слободен електрон патува само многу кратко растојание пред да се судари со некој атом. Судирајќи се со електрони од тој атом го пренесува своето движење од еден на друг електрон – ланчано со многу голема брзина (брзина на светлината која изнесува околу 300.000 km/s). Слободните електрони се движат со помош на ЕМС (електромоторна сила)
Количеството на електрицитет кое ќе помине преку еден проводник со определен пресек во единица време се нарекува јачина на електричната струја.
Основна мерна единица за електричната струја е 1Ампер (А)
Еднонасочна (истонасочна) и наизменична електрична струја
Електричната струја во текот на времето може да биде стална или променлива. Притоа може да се менува јачината на електричната струја и насоката на електричната струја.
Ако струјата не ја менува својата насока се нарекува еднонасочна (истонасочна) струја.
Ако струјата ја менува својата насока се нарекува наизменична струја.
Аке не се менува ниту јачината, ниту насоката, тогаш се нарекува еднонасочна постојана електрична струја. Извори на таква струја се галванските елементи (батериите) акумулаторите, соларните фотокелии и термоелементите. Таквата струја графички е прикажана на следнава слика:

Ако со текот на времето насоката на струјата не се менува, а се менува само нејзината јачина, тогаш се нарекува еднонасочна променлива струја:

Наизменичната струја е секоја струја чија насока и јачина периодично се менува. Постојат повеќе облици на наизменични струи. На долната слика се прикажани некои облици на наизменични струи. На пример, А=синусна наизменична струја или синусен напон, Б=пилеста наизменична струја или пилест напон, В=правоаголна наизменична струја или правоаголен напон. Под В е прикажана наизменична струја со сложен облик.

Фреквенција
Променливата електричната струја може да ја менува насоката и јачината во правилни или неправилни временски интервали.
Во некои случаи електричната струја протекува во вид на импулси односно низа на импулси.
Еднонасочната струја која ја менува својата јачина на електрична струја во правилни временски интервали се нарекува пулсирачка електрична струја.
Бројот на промените на насоката или јачината на струјата кај наизменичната струја, како и бројот на импулси кај истонасочната-импулсна електрична струја во единица време, се нарекува фреквенција.
Основна мерна единица за фреквенцијата е 1Херц (Hz).
Бранова должина на наизменичната електрична струја
Промените на наизменичната струја можат да бидат различни. Доколку не се назначи поинаку, обично се мисли на наизменична струја која својата амплитуда и насока во единица време ја менува по синусоидален закон.

Амплитудата на електричната струја периодично расте од нула до максимум во една насока, потоа опаѓа до нула, ја менува насоката па расте до максимум во спротивната насока, потоа опаѓа до нула и т.н.
Овој комплетен процес почнувајќи од нула и поминувајќи низ своите два максимуми во спротивните насоки и враќајќи се повторно до нула, се нарекува периода.
Бројот на периоди во една секунда се нарекува фреквенција на наизменичната струја.
Наизменичните електрични струи со фреквенција од околу 15 Hz па се до близу 300.000.000.000 Hz (300 GHz) се нарекуваат радио фреквенции (RF) и претставуваат дел од електромагнетните бранови.
Ефективна вредност на наизменичната струја
За извршување на некаква работа со наизменична струја, на пример за загревање со некоја електрична греалка, важна е таканаречената ефективна средна вредност на наизменичниот напон и наизменичната струја. Ефективните вредности се за 1.41 пати (квадратен корен од два) помали од максималните вредности на наизменичната струја. Ефективните вредности на наизменичната струја се приближно еднакви на оние вредности на истонасочна струја со кои би се постигнала иста работа за исто време (на пример загревање). Ефективните вредности на наизменичната струја изнесуваат околу 70,7% од максималните вредности на напонот и струјата..
Ако не е наведено поинаку, вредностите на напонот на наизменичната струја се најчесто дадени за ефективните вредности. Така на пример, познато е дека напонот на наизменичната струја од градската мрежа изнесува 220 волти. Тое е ефективна вредност на напонот, што значи дека максималната вредност на напонот од градската мрежа достигнува до: U = 1,41 x 220V = 310V.
Извори на електрична струја
Низ некој проводник ќе тече електрична струја се додека постои потенцијална разлика помеѓу две точки од тој проводник. Штом ќе се изедначат потенцијалите, струјата престанува да тече. За да може електричната струја постојано да тече, треба на некој начин да се одржува стална разлика на потенцијалот. Уредите со помош на кои се одржува постојаната разлика на потенцијалот се нарекуваат извори на електрична струја, односно извори на електрична енергија.
Постојат извори на еднонасочна и извори на наизменична електрична струја.
Изворите на електрична енергија се уреди кои во себе претвораат некаков друг вид на енергија (топлинска, механичка, хемиска, светлосна и др.) во електрична енергија. Најпознати извори на електрична енергија се акумулатори, галвански елементи (популарно наречени батерии), генератори, сончеви генератори и слично.
Секој извор на електрична енергија има два пола (приклучни точки) помеѓу кои постои потенцијална разлика (електричен напон).
Паралелно поврзување на извори на електрична струја
Два или повеќе извори на електрична струја (со еднакви карактеристики) можат да се поврзат паралелно. Со тоа се добива извор на електрична струја со ист напон како секој од поврзаните извори, но вака добиениот извор ќе има можност да испорача поголема јачина на електричната струја, односно ќе има поголем струен капацитет.
Пример 1: Ако 4 батерии од по 1.5 волти, ги поврземе паралелно, напонот ќе остане ист, но за 4 пати ќе се зголеми јачината на струјата што ќе можат да ја испорачаат батериите, односно за 4 пати ќе се зголеми вкупниот струен капацитет на батериите, отколку кога би имале само една батерија. На тој начин, при иста струја на празнење, батериите ќе траат 4 пати подолго додека не се испразнат:

Пример 2: Ако два акумулатори од по 12 волти и струен капацитет од 100 амперчасови, ги поврземе паралелно, напонот ќе остане ист (12 волти), но за 2 пати ќе се зголеми јачината на струјата што ќе можат да ја испорачаат акумулаторите, односно за 2 пати ќе се зголеми вкупниот струен капацитет на акумулаторите и ќе изнесува 200 Ah. На тој начин, при иста струја на празнење, акумулаторите ќе траат 2 пати подолго додека не се испразнат:


Сериско поврзување на извори на електрична струја
Два или повеќе извори на електрична струја (со еднакви карактеристики) можат да се поврзат сериски за да се добие извор со повисок напон. Притоа, јачината на струјата што може да ја испорача заедничкиот извор, ќе биде еднаква на јачината на струјата што може да ја испорача само еден од поврзаните извори.
Со други зборови кажано, вкупниот струен капацитет на заедничкиот извор ќе биде непроменет, односно ќе биде еднаков на струјниот капацитет што го има секој од поврзаните извори.
Пример 1: Ако поврземе во серија 4 батерии од по 1.5 волти, напонот ќе се зголеми за 4 пати, па ќе добиеме вкупен напон од 6 волти, а јачината на струјата што ќе можат да ја испорачаат батериите ќе остане непроменета, односно струјниот капацитет на батериите ќе остане ист:

Пример 2: Ако два акумулатори, секој со напон од по 12 Волти и капацитет од 100 Ah, се поврзат во серија, ќе се добие вкупен напон од 24 волти, а струјниот капацитет ќе остане непроменет, односно ќе изнесува 100 Ah (100 амперчасови):

Недостаток при сериското поврзување на извори на електрична струа е тоа што се зголемува внатрешниот отпор на добиениот извор со повисок напон.
Електрична отпорност
Хаотичното движење на слободните електрони во проводниците зависи од температурата. Колку е повисока температурата, толку е поголема брзината на хаотичното движење на слободните електрони и истовремено е поголема електричната отпорност. Значи електричната отпорност претставува појава на спротивставување на насоченото движење на електроните.
Јачината на електричната струја зависи од електричниот напон и од проводникот низ кој протекува струјата, односно од неговата „спроводливост“. Вообичаено е наместо спроводливост на некој проводник да се употребува зборот отпорност на проводникот.
Основна мерна единица за електричната отпорност е 1 Ом (W)
Добрите проводници имаат голема спроводливост и мал отпор и обратно. Според тоа, јачината на електричната струја е обратно пропорционална со електричната отпорност на проводникот.
Електричната отпорност е обратно пропорционална со дебелината односно пресекот на проводникот. Колку е поголем пресекот на проводникот (подебела жица) толку е помала електричната отпорност.
Исто така, Електричната отпорност зависи и од должината на проводникот. Колку е поголема должината на проводникот, толку е поголема електричната отпорност.
Електричната отпорност зависи и од температурата.
Воопштено, електричната отпорност на металите се зголемува со температурата, додека отпорноста на полупроводниците се намалува со зголемување на температурата. Ако температурата на проводникот се излади под некоја критична температура, електричната отпорност нагло опаѓа. Кај некои проводници отпорноста при доволно ниска температура опаѓа до нула. За проводниците во таква состојба велиме дека се суперпроводници.
Електричната струја, потенцијалната разлика и електричната отпорност може многу подобро да се разбере ако направиме споредба со проток на вода во една цевка.
Притоа, потенцијалната разлика (напонот) кај електричната струја е соодветна на разликата на висината на краевите од цевката. Ако едниот крај на цевката е многу повисок од другиот крај на цевката, тогаш водата која ќе се движи од повисокиот кон понискиот крај на цевката ќе се движи со поголема брзина.
Електричната отпорност пак, е соодветна на пресекот на цевката за вода. Ако пресекот на цевката е поголем (помал отпор), поголемо количество на вода може да протече преку неа за определено време.
Јачината на електричната струја е соодветна на количеството вода кое протекува преку цевката во единица време. Колку отпорот е помал (поширока цевка – помал отпор) и колу е поголема висинската разлика помеѓу краевите на цевката (поголема потенцијална разлика или напон), толку повеќе вода може да протече за определено време (јачина на струјата).
Колку повеќе вода протече низ цевката во единица време, толку поголема моќност и енергија има водата и може да изврши поголема работа. (на пример, да придвижува турбина во некоја хидроцентрала)
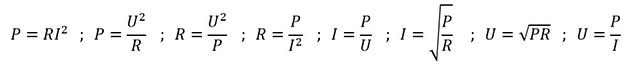
Омов закон
Односот помеѓу јачината на електричната струја I, која тече низ некој проводник со електрична отпорност R, и електричниот напон U, на краевите на тој проводник е определен со Омовиот закон:
Од оваа основна формула можат да се изведат и други релации:

Потенцијалната разлика (електричен напон) се означува со U, но во некои литератури потенцијалната разлика се означува E (електромоторна сила):

Пример1:
Колкава е јачината на електричната струја која тече низ проводник со електрична отпорност од 50 оми, ако напонот на краевите на тој проводник изнесува 10 V ?
Одговор: I=U/R = 10V/50оми = 0,2A = 200 mA
Пример2:
Колку изнесува напонот на краевите на еден потрошувач кој има електрична отпорност од 2,5 килооми и низ него тече електрична струја со јачина од 150 mA ?
Одговор: U = I х R = 0.150 A x 2.500 оми = 375 V
Пример3:
Колку изнесува електричната отпорност на еден проводник, ако електричниот напон на краевите е 60 V, а јачината на електричната струја изнесува 2 A ?
Одговор: R=U/I = 60V/2A = 30 оми.
Електрична Моќност
При поминување низ некој проводник или електрично коло во кое постои електрична отпорност, електричната струја извршува некоја работа, го загрева проводникот, создава магнетно поле околу проводникот и т.н.
Електричните уреди ја претвораат оваа работа во многу корисни форми како што е топлина, движење или звук на пример.
Извршената работа ќе биде поголема ако е поголема моќноста на електричната струја и ако времето за кое е вршена работата е подолго.
Основна мерна единица за електрична моќност е Ват (W)
Моќноста на електричната струја е поголема ако е повисок напонот и ако е поголема јачината на електричната струја. Затоа моќноста е дефинирана како производ помеѓу напонот и јачината на електричната струја.
Применувајќи го омовиот закон можат да се изведат и следниве релации:
Пример 4:
Колкава е јачината на електричната струја која тече низ една електрична греалка со електрична моќ од 2200W, која работи на 220 V ?
Одговор: I = P/U = 2200W/220V = 10 A
Електрична енергија
Ако електричната струја делува подолго, ефектите од нејзиното делување ќе бидат поголеми, а вкупната потрошена електрична енергија ќе биде поголема. Потрошената електрична енергија вообичаено се изразува во киловатчасови (kWh), а може да се пресмета според следниов математички израз:
A = N t
Каде што:
А = енергија (количерсто на работа) kWh
N = просечна моќ во kW
T = време во часови
Пример 5:
Колкава електрична енергија ќе потроши еден радиоаматерски примопредавател (трансивер) со излезна моќ од 1 kW за време од 48 часови, колку што трае еден радиоаматерски натпревар?
Еден радио предавател за да даде излезна моќ од 1 kW, троши околу 2 пати повеќе електрична моќ (во зависност од видот на предавателот и процентот на искористување на електричната енергија), според тоа, ако претпоставиме дека во текот на 48 часови колку што трае натпреварот, предавателот работи половина од времето, односно 24 часови (другата половина радиоаматерот го поминува во прием, кога трансиверот троши незначително електрична енергија), тогаш пресметуваме:
A=N x t = 2 kW x 24 часови = 48 kWh електрична енергија
Колку пари ќе не чини тоа?
Ако ја помножиме потрошената електрична енергија со цената на 1 kWh електрична енергија, тогаш ќе добиеме колку пари ќе не чини работата на радиоаматерскиот трансивер за време на еден натпревар. На пример, ако просечната цена на електричната енергија изнесува 5 денари за еден kWh, тогаш пресметуваме:
48 kWh x 5 денари = 240 денари
Пример 6.
Колкава електрична енергија ќе потроши една електрична греалка со моќ од 2 kW за време на еден радиоаматерски натпревар што трае 48 часови?
(ова се однесува за радиоаматерски натпревар кој се одржува во ладниот период од годината кога е потребно затоплување на просторијата)
Пресметуваме:
2 kW x 48 часови = 96 kWh
А тоа ќе не чини:
96 kWh x 5 денари = 480 денари
Ако сега ги собереме двете суми, 240 денари од работата на трансиверот и 480 денари од работата на електричната греалка, ќе добиеме дека еден радиоаматерски натпревар во текот на 48 часови ќе не чини околу 720 денари (240 + 480 = 720 денари.
Комплексна електрична отпорност (импеданса)
Електричната отпорност што се јавува при проаѓање на електричната струја низ некој проводник не зависи од видот на електричната струја. Таа е еднаква и за еднонасочна и за наизменична струја. Оваа електрична отпорност се означува со буквата R и се нарекува омски или реален отпор.
При проаѓање на наизменична струја низ некој проводник а особено низ некој калем со определена индуктивност, се јавува и друг вид на отпорност која се нарекува индуктивна отпорност или индуктивен отпор (RL). Индуктивната отпорност зависи од индуктивноста на проводникот (калемот) како и од фреквенцијата на електричната струја.
Ако индуктивноста на проводникот е поголема, индуктивниот отпор е поголем и обратно.
Ако фреквенцијата на електричната струја е повисока, индуктивниот отпор е поголем и обратно.
Еднонасочната електрична струја не може да протече преку кондензатор. Наизменичната струја за разлика од истонасочната може да „помине“ преку кондензаторот бидејќи кондензаторот наизменично се полни и празни така што кондензаторот претставува како еден вид на отпорност за наизменичната струја која се нарекува капацитивна отпорност или капацитивен отпор (RC). Капацитивниот отпор зависи од капацитетот на кондензаторот и од фреквенцијата на наизменичната струја.
Колку е поголем капацитетот толку е помала капацитивната отпорност и обратно.
Од друга страна, колку е повисока фреквенцијата на електричната струја, толку помала е капацитивната отпорност.
Во некое електрично коло со наизменична струја можат да бидат присутни сите три видови на отпорност истовремено. Вкупната отпорност на сите овие три отпорности: чистата омска отпорност (R), индуктивната отпорност (RL) и капацитивната отпорност (RC) се нарекува комплексна отпорност или импеданса, а се означува со (Z)
Скин-ефект
Реалната или омската отпорност на еден проводник е еднаква за еднонасочната и наизменичната електрична струја се додека фреквенцијата на наизменичната струја е ниска, до неколку kHz. При повисоки фреквенции густината на струјата не е еднакво распоредена по целиот пресек на проводникот и електричната струја има тенденција да тече блиску до површината на проводникот. Оваа појава се нарекува „скин-ефект“ (на англиски skin = кожа, лушпа, површински слој)
Колку фреквенцијата на струјата е повисока, толку таа протекува само по еден многу тенок површински слој на проводникот. Поради појавата на скин-ефектот, се намалува корисниот пресек на проводниците за високофреквентни сигнали, што резултира со зголемување на отпорот.
Скин-ефектот го користат некои производители на коаксијален кабел за да ги намалат трошоците и цената на кабелот. Така, наместо централниот проводник на коаксијалниот кабел да го направат комплетно од бакар, тие употребуваат побакарен челик. Челикот е поевтин па и производните трошоци се помали. Од друга страна, доколку коаксијалниот кабел се користи само за пренос на високи RF струи, тогаш нема речиси никаква разлика во слабеењето на сигналите, бидејќи високофреквентната струја се движи само по површината (бакарниот слој) од побакарениот челичен проводник. Но ако кабелот што има централен проводник од побакарен челик, се користи и за пренос на струја со ниска фреквенција (50 Hz) за напојување на засилувачите (во кабелските дистрибутивни системи), тогaш, за оваа нискофреквентна струја кабелот ќе има поголема омска отпорност, отколку кога целиот проводник би бил од чист бакар бидејќи челикот има поголема електрична отпорност од бакарот. За радиоаматерска употреба, речиси нема никаква разлика дали проводниците на коаксијалниот кабел се изработени од чист бакар или од побакарен челик.
Дали внатрешниот проводник на еден коаксијален кабел е изработен од чист бакар или од побакарен челик не е лесно да се забележи со око.
Но, со обичен магнет може лесно да се утврди дали внатрешниот проводник го привлекува магнетот или не. Ако магнетот се допре до внатрешниот проводник на коаксијалниот кабел и ако не се забележи привлекување, тогаш кабелот не е изработен од побакарен челик.
Мерки за претпазливост при работа со електрична струја
Електричната струја може да биде опасна!
При работа со елементи и уреди кои користат електрична струја треба да се посвети неопходно внимание. Некои уреди користат висок напон кој може да биде смртоносен доколку не се постапува правилно.
Човечкото тело е многу осетливо на електрична струја. Проток на електрична струја од само неколку десетини милиампери низ човечкото тело е доволна да настапи електричен шок, престанок на работата на срцето и смрт за само неколку минути.
Доколку сепак се случи некој од колегите да доживее струен удар и електричен шок, без да се губи драгоцено време, мора веднаш да се пристапи кон вештачко дишење и масажа на срцето.
Затоа, секој поединец кој при својата работа има допир со уреди кои работат на електрична струја која може да биде опасна по живот, мора да биде обучен за давање прва помош, масажа на срце и вештачко дишење.
Електромагнетизам
Познато е дека постојат предмети од посебен вид на железо (магнетит) кои имаат својство да привлекуваат други предмети од железо, никел и нивни легури. Таквите предмети се нарекуваат постојани (перманентни) магнети, а појавата се нарекува магнетизам.
Магнетите имаат свои, таканаречени полови, северен пол (N) и јужен пол (S), согласно половите на Земјата. Просторот во кој се чувствува влијанието на магнетот се нарекува магнетно поле. Слична магнетна појава има и кај калемот (соленоид). Кога низ калемот протекува електрична струја, околу него се формира магнетно поле (со свои магнетни полови) и тој ги привлекува предметите од железо. Таков калем се нарекува електромагнет, а самата појава се нарекува електромагнетизам:

Електромагнетот претставува калем со изолирана бакарна жица и јадро од меко железо. Ако се исклучи струјата што минува низ калемот (електромагнетот), магнетното поле го снемува. Електромагнетот има голема предност во однос на природниот магнет. Јачината на магнетот зависи од јачината на електричната струја и бројот на навивки на калемот. Кај електромагнетот може да се менува поларитетот со промена на насоката на струјата, а тоа кај природниот магнет не е можно. Електромагнетот е еден од основните елементи на современата електротехника и наоѓа широка примена кај електричните релињата и склопки, електрични ѕвона, телефони, електромотори, генератори итн.
Електромагнетна индукција
Кога во некој калем се вовлекува и извлекува магнетна прачка од природен магнет, во бакарните навивки на калемот протекува електрична струја поради насоченото движење на електроните под дејство на магнетното поле од магнетната прачка. Истата појава се случува и кога наместо магнетнтата прачка од стален магнет, се употреби електромагнет (калем низ кој тече електрична струја). Оваа појава се нарекува електромагнетна индукција. Единица за електромагнетна индукција (индуктивност) е хенри (H), а многу често се употребуваат помалите единици милихенри (mH), микрохенри (µH) и нанохенри (nH).
Индуктивноста е многу важна карактеристика на секој калем.Таа зависи од обликот и димензиите на калемот, од бројот на навивки, дијаметарот на калемот, потоа од дебелина на жицата, од должината на калемот и од јадрото на калемот. (јадрото може да биде од некој магнетен материјал со своја магнетна пермеабилност, или јадрото може да биде воздух, па тогаш велиме дека калемот нема јадро)
Ако низ калемот тече наизменична струја, таа ќе создава променливо магнетно поле, кое ќе создава (индуцира) електрична струја во истиот калем и без физичко движење на некој магнет (или електромагнет). Оваа појава се нарекува самоиндукција и е една од најзначајните во електротехниката, радиотехниката и електрониката:

На принцип на оваа појава (електромагнетната индукција и самоиндукција) работат трансформаторите, генераторите, електромотори, радиото, телевизијата, мобилната телефонија итн.
Електромагнетни бранови
Секој проток на електрична струја низ некој проводник создава магнетно поле околу проводникот. Ако електричната струја е со константна јачина, таа предизвикува константно магнетно поле. Секоја промена на јачината на електричната струја низ некој проводник создава промена и на јачината на магнетното поле. Од друга страна, секое магнетно поле предизвикува електрична струја се додека јачината на магнетното поле се менува.
Значи може да се заклучи дека:
1. Променливо (осцилирачко) електрично поле предизвикува
(генерира) осцилирачко магнетно поле и обратно
2. Променливо (осцилирачко) магнетно поле предизвикува (генерира)
осцилирачко електрично поле.
Ова се два клучни факти со кои да можат да се разберат и објаснат електромагнетните бранови.
Електромагнетните бранови се комбинација од електрично и магнетно поле кои се нормални едно во однос на друго, односно рамнината на електричното поле и рамнината на магнетното поле меѓусебно зафаќаат агол од 90 степени:

Еве и друг графички приказ на електромагнетен бран:
Карактеристики на електромагнетните бранови
Основни карактеристики на електромагнетните бранови се брзината, фреквенцијата и брановата должина.
Електромагнетните бранови се движат низ просторот со брзина од околу 300.000 километри во секунда и ништо друго не може да биде побрзо од нив. Тие се движат и во вакуум но и во други материи.
Електромагнетните бранови се насекаде околу нас.
Најголемиот дел од електромагнетните бранови не можеме ниту да ги видиме ниту директно да ги почувствуваме.
Само еден мал дел од електромагнетниот спектар можеме да го видиме (видливите светлинските зраци) додека инфрацрвените електромагнетни бранови можеме директно да ги почувствуваме во вид на топлински зраци.

Електромагнетните бранови со многу висока фреквенција (екстремно мала бранова должина) имаат многу голема енергија. Директното изложување на такви електромагнетни бранови е опасно за човекот и живите организми. (На пример, ултравиолетовото зрачење од сонцето може да предизвика изгореници на кожата. „Х“-зраците и гама зраците кои имаат повисока фреквенција се уште поопасни). За среќа, најголемиот дел од опасните зрачења кои доаѓаат од космосот се апсорбираат од земјината атмосфера.
Брановата должина (λ) и фреквенцијата (f) се поврзани преку брзината на светлината (C):
C = f × λ (C = 300.000 km/s)
Од тука, може да се пресмета брановата должина која изнесува:
Колку е поголема брановата должина на брановите, толку е помала нивната фреквенција и обратно, ако брановата должина е помала, фреквенцијата ќе биде поголема.

Електромагнетните бранови иако немаат маса, имаат енергија и таа е правопропорционална со фреквенцијата.


Генерално, Електромагнетните бранови се поделени на:
Табела на класификација на електромагнетните бранови:
Во видливиот дел од електромагнетниот спектар (светлината) спаѓаат електромагнетните бранови со фреквенција од 400 THz до 790 THz и бранова должина од 380 nm до 760 nm. Притоа, црвената видлива светлина има најниска фреквенција и најголема бранова должина, следува портокаловата, жолтата, зелената, сината, и на крајот е виолетовата светлина која има највисока фреквенција и најмала бранова должина.
Јонизирачко и нејонизирачко електромагнетно зрачење
Енергијата на електромагнетните бранови е правопропорционална со нивната фреквенција. Електромагнетните бранови со поголема, односно, повисока фреквенција имаат и поголема енергија.
Електромагнетните бранови со многу мала бранова должина (помала од 100 nm) односно, многу висока фреквенција, имаат доволно енергија (над 10 eV) да предизвикаат изместување на електроните од орбитата на атомите, и со тоа предизвикуваат јонизација на ткивата. Тоа можат да го сторат брановите почнувајќи од ултравиолетовите електромагнетни зраци, потоа, Х-зраците и гама зраците, кои се многу опасни за здравјето на човекот и другите живи организми.

Електромагнетните бранови со бранова должина поголема од 100 nm, се смета дека немаат доволно енергија за да предизвикаат јонизација на ткивата и се нарекуваат нејонизирачки електромагнетни бранови или нејонизирачко зрачење. Во оваа група спаѓаат сите радио бранови, микробранови, инфрацрвените бранови, видливата светлина, па сѐ до ултравиолетовото зрачење. Иако не се толку опасни како јонизирачките електромагнетни бранови, сепак, подолгото изложување на нејонизирачките електромагнетни бранови со поголема моќност, може да предизвика загревање на ткивата и нивно оштетување (како на пример, во микробрановата печка или подолготрајно изложување на сончевата светлина што може да предизвика изгореници).
- - - - - - - - - - - - - - - - - - - - - - - - - - - - -
Во следнава табела се дадени децималните префикси на мерните единици:
- - - - - - - - - - - - - - - - - - - - - - - - - - - - -
Примена на електромагнетните бранови во радиоаматерството
Во радиоаматерските комуникации се користат радио брановите и микробрановите како дел од електромагнетниот спектар.
Во подрачјето на VLF (многу ниски фреквенции или многу долги бранови) за радиоаматерски комуникации експериментално се користат фреквенциите околу 9 kHz.
Во подрачјето на LF (долги бранови) за радиоаматерски комуникации се користат фреквенцискиите околу 136 и 137 kHz.
Во подрачјето на HF (кратки бранови) радиоаматерски комуникации се остваруваат во неколку фреквенциски опсези („бандови“):
- 1.8 MHz (бранова должина околу 160 метри)
- 3.5 MHz (бранова должина околу 80 метри)
- 7 MHz (бранова должина околу 40 метри)
- 10 MHz (бранова должина околу 30 метри)
- 14 MHz (бранова должина околу 20 метри)
- 18 MHz (бранова должина околу 17 метри)
- 21 MHz (бранова должина околу 15 метри)
- 24 MHz (бранова должина околу 12 метри)
- 28 MHz (бранова должина околу 10 метри)
Во подрачјето на VHF (многу кратки бранови) радиоаматерските комуникации се остваруваат во следниве фреквенциски опсези (бандови):
Во подрачјето на UHF (ултра кратки бранови) радиоаматерските комуникации се остваруваат во следниве фреквенциски опсези (бандови):
Поопширно за карактеристиките на радиоаматерските опсези, можете да прочитате овде.
Освен горенаведените фреквенциски опсези кои се користат релативно почесто, радиоаматерите остваруваат радио врски и на повисоки фреквенции, во областа на микробрановите.
Поларизација на радиобрановите
Радиобрановите се поларизирани. Рамнината на електричното поле ја определува поларизацијата на радиобрановите. Постојат две главни поларизации: Вертикална и хоризонтална поларизација. Ако електричното поле на радиобрановите е вертикално, тогаш велиме дека радиобрановите имаат вертикална поларизација. Ако електричното поле на радиобрановите е хоризонтално, тогаш велиме дека радиобрановите имаат хоризонтална поларизација.
Во некоја антена за прием на радиобранови ќе се индуцира најголем високофреквентен напон ако предавателната антена од која се емитуваат радиобрановите е паралелна на приемната антена. Тоа е затоа што радиобрановите се поларизирани.
Пропагации (простирање на радиобрановите)
Услови кои влијаат на простирањето (ширењето) на радиобрановите во просторот, заедно со природните и вештачки предизвиканите пречки, ги нарекуваме пропагации. Простирањето на радиобрановите во просторот многу зависи од нивната фреквенцијата, односно брановата должина. Состојбата на јоносферата, метеоролошките услови, географските услови, сончевата активност, годишните времиња, денот и ноќта, како и други појави имаат значајно влијание на простирањето на радиобрановите.
Простирањето на радиобрановите од подрачјето на кратки бранови (3 до 30 MHz) во голема мера зависи од состојбата на јоносферата. Тие имаат својство да се прекршуваат и одбиваат од јоносферските слоеви во зависност од степенот на јонизација и сончевата активност, па можат да се остварат радиооврски со многу далечни радиостаници кои на различни континенти, со релативно мала моќ.
Радиобрановите од подрачјето на ултракратките бранови, со фреквенција повисока од 30 MHz, се простираат праволиниски и многу малку или воопшто не се одбиваат или прекршуваат од јоносферата. Уште повисоките фреквенции се простираат слично како светлинските зраци...
Примена на електромагнетните бранови во
Кабелските Дистрибутивни Системи и безжичните електронски комуникациски мрежи
Во Кабелските Дистрибутивни Системи се користат радио брановите, микробрановите и инфрацрвените бранови како дел од електромагнетниот спектар.
Во кабелската дистрибутивна мрежа се користат радио бранови со фреквенции од 5 MHz до 862 MHz преку кои се пренесуваат корисни информации. За таа цел корисните информации се втиснуваат (модулираат) во радио фреквенциски (RF) сигнали кои се употребуваат како носители на корисните информации. (корисни информации се видео и аудио сигналите од ТВ програми, инфо канали, потоа дигитални сигнали на дигиталната ТВ, интернетот, телефонијата и сл.)
Како генератори на носечките RF сигнали со помош на кои се пренесуваат корисните информации преку кабелските дистрибутивни мрежи, се употребуваат модулатори, модеми, CMTS-уреди и други уреди кои ќе се разгледуваат понатаму во оваа книга.
Во современите хибридни оптичко-коаксијални дистрибутивни системи се користат и инфрацрвените бранови (ласерски зраци) преку кои се пренесуваат корисни сигнали во оптичкиот сегмент од мрежата.
Ласерските зраци кои се користат во оптичкиот сегмент на Кабелските Дистрибутивни Системи се со бранова должина од 1310 nm и 1550 nm. Зраците со овие бранови должини се невидливи за човечкото око и тие спаѓаат во инфрацрвените електромагнетни бранови.
Не случајно се одбрани ласерските зраци со овие бранови должини. Утврдено е дека оптичките влакна (оптичкиот кабел) најмалку ги слабеат токму тие бранови должини.
Базните станици на мобилната телефонија користат радиобранови и микробранови за безжичен пренос на корисни информации на далечина. Во зависност од генерацијата на безжичните мрежни системи за пренос на информации (3G, 4G или 5G), се користат електромагнетни бранови со фреквенција од околу 800 МHz па до 2,1 GHz, а 5G безжичните мрежи користат уште повисоки фреквенции, во областа на микробрановите.
I Z33T home page I страници на македонски јазик I