| Inicio | Antenas | Directorio | Escuchar radioaficionados on line |Conexiones de microfonos | Coaxiales | Linea bifilares | Construccción de Balun |Transformadores de impedancia |Gamma match |Teoría antenas | Internet PLC |Radioafición | Amateur TV | Packet radio | Rebote lunar |Modos digitales| Radioastronomía | Radio control |Satélites- y-frecuencias | Repetidores vía internet |Repetidores en 10 m| Bandas | Prefijos de paises | Código fonético, telegrafía y "Q" | Actividad solar |Indice solar (ayuda)|Boletín Propagacíon |Mapa de propagación en tiempo real| Boletín Dx | DX Clusters|Foros radio aficiónados | Calculadoras amateur radio |Electónica | Ingeniería |Manuales radio |Manuales de servicio y modificaciones | Sound card interface| Revista de radio |Videos | Software y Descargas |Radios y equipos de comunicación|Clima metereológico |Paseos virtuales por tu ciudad |Vuelos en tiempo real|Web cam tierra desde el espacio|Biografía |Galería | Ilustres | Firware de ajuste para TS-2000 | Falla de filtros TS2000 | Firware de ajuste para TS-2000 | Falla de filtros TS2000 |||

 

 

Yagui 4 elementos para 24.920 mhz banda de 12 metros

 

 

 

Caracteristicas electromagnéticas de antena yagui 4 elementos a 9 metros de altura.

 

Diagramas de radiación de la antena yagui para banda de 12 metros

 

Patrón de radiación en tercera dimención

Ganancia de la antena frente espalda y frecuencia

 

Resistencia de radiacón y reactancia de la antena

Es necesario usar un balun 1:2 para transformar 27.5 ohms a 50 ohms y asi bajar la ROE de 1:1.8 a 1:1

Estacionarias de la antena a corregir con transformador de impedancias

 

 

 

La adaptación de la antena con la linea de alimentación se puede lograr de muy diversas maneras:

Adaptación de la antena por medio de un gamma match

Adaptación de la antena por medio de un transformador de impedancias

Adaptación de la antena por medio de Balun

Adaptación de la antena por medio de una red de acoplamiento tipo "L"

Adaptacion de la antena por medio de una red de acoplamiento tipo " T"

Adaptacion de la antena por medio de una red de acoplamiento tipo " PI"

Sea cualquiera que elijas éste sistema de acoplamiento deberá de estar lo más cercano posible al punto central de alimentación de la antena y así optimizar la máxiama potencia radiada por antena y evitando que ésta se convierta en energía calorifica.

 

 

Caracteristicas electromagnéticas de la antena.

 

 

 

Como tenemos una linea de alimentación de 50 ohms y la antena presenta una impedancia de 24.19 ohms, a la frecuencia de 24.920 Mhz. Nos generará una RELACION DE ONDAS ESTACIONARIAS (R.O.E.) 1 a 2, y necesitamos adaptar esa diferencia de impedancias para bajar la R.O.E. a 1a.1 mediante cualquiera de los sistemas de adaptación entre linea de alimentación y punto de alimentacion de la antena, ya sin modificar la longitud física de los elementos de la antena puesto que la reactancia de la antena está muy cercana a cero o sea que jx =0.1903 ohms, (casi cero ) LA ANTENA ESTÁ EN RESONANCIA para éste caso.

 

 

A continuación detalles de las diferentes formas de adaptación:

 

 

 

Adaptación por Gamma match

Click para descargar programa de gamma match gratis

 

El largo del gamma es de 87 cm y una separacion de 6 cms entre elemento exitado y gamma match. para tener una S.W.R Baja.

 

 

 

Construcción de gamma macht.metodo aproximado

Adaptación por acoplamiento de impedancias por transformador

Uno de los mejores dispositivos para acoplamiento de impedancias es el transformador. Recuerde que es muy común el uso de transformadores con núcleo de hierro a frecuencias bajas para igualar (transformar) una impedancia a otra.

Amidon de ferrita de 1 a 30 mhz

 

Es posible hacer que una impedancia aparezca como la impedancia de carga deseada si se selecciona el valor correcto de la relación de vueltas del transformador.

Especificaciones toroide T 200 - 2 color rojo de 250 khz a 10 MHZ

 

 

Toroide de ferrita T 200 6

 

 

Especificaciones toroide T 200 - 6 color amarillo de 3 Mhz a 40 Mhz

 

 

Torroide forrandolo con cinta de teflón antes de enbobinar

 

Esta relación es válida sólo para transformado-res con núcleo de ferrita.

 

Lo que dice esta fórmula es que el cociente de la impedancia de entrada, Zi y la impedancia de la carga, Zl es igual al cuadrado del cociente del nú-mero de vueltas en el primario, Np, y el número de vueltas en el secundario, Ns. Como ejemplo, para acoplar la impedancia de un generador de 5 ohm a una impedancia de carga de 50 ohm, la razón o relación de vueltas sería

 

Esta relación es válida sólo para transformado-res con núcleo de hierro. Cuando se usan transformadores con núcleo de aire, el acoplamiento entre los devanados primario y secundario no es completo y, por consiguiente, la relación de impedancia no es como se indica. Aun cuando los transformadores de núcleo de aire son de uso generalizado en frecuencias de RF, y pueden usarse para acoplar impedancias, son menos eficientes que los transformadores con núcleo de hierro.

Se han creado tipos especiales de materiales para núcleos de esa clase, a fin de usarlos en frecuencias muy altas. El material del núcleo es una ferrita o hierro pulverizado. Tanto el devanado primario como el secundario se arrollan en un núcleo de este material. El núcleo para transformadores de RF de uso más común es el de forma toroidal. Un toroide es, en geometría, un cuerpo de sección circular que tiene la forma de dona. El toroide metálico se fabrica, en general, con un tipo especial de hierro pulverizado. En el toroide se arrolla alambre de cobre para conformar los devanados primario y secundario. Una con-figuración típica es la que muestra la figura..

También se usan bobinados primarios con derivaciones para tener el llamado autotransformador, que permite acoplar impedancias entre etapas de RF. La figura 11-9 describe las configuraciones para aumentar y reducir la impedancia. Por lo común se usan toroides. A diferencia de los transformadores con núcleo de aire, los transformadores toroidales hacen que el campo magnético que produce el devanado primario esté por completo dentro del propio núcleo. Esto aporta varias ventajas importantes. Primera, un toroide no radiará energía de RF. Los inductores con núcleo de aire radian porque el campo magnético que se produce alrededor del devanado primario no está contenido fijamente. Los circuitos de transmisores y receptores que usan inductores con núcleo de aire deben estar cubiertos por blinda jes magnéticos para impedir que interfieran con otros circuitos. El toroide, por otra parte, confina el campo magnético por completo y, por lo tanto, no requiere blindajes.

Otro beneficio es que la mayor parte del campo magnético que produce el devanado primario corta las vueltas del devanado secundario. Por ello, las fórmulas básicas para relación de vueltas, voltajes de entrada-salida y las de impedancia para transformadores de baja frecuencia estándares también se aplican a los transformadores de alta frecuencia toroidales.

En la mayoría de los nuevos diseños de RF se usan transformadores con núcleo de toroide para acoplar las impedancias de RF entre las etapas. Además, en ocasiones los devanados primario y secundario se emplean como inductores en circuitos sintonizados. De manera alternativa, también pueden construirse inductores toroidales. Estos elementos tienen una ventaja sobre los inductores con núcleo de aire para aplicaciones de RF, la cual consiste en que la mayor permeabilidad magnética del núcleo hace que la inductancia sea alta. Recuerde que cuando se inserta un núcleo de hierro en un arrollamiento de alambre, la inductancia aumenta en forma notable. Para aplicaciones en RF, ello significa que se pueden obtener valores deseados de inductancia utilizando menos vueltas de alambre. El resultado es inductores de menor tamaño. Además, un número menor de vueltas produce menos resistencia, dando al inductor un Q más alto que el que es posible obtener con inductores de núcleo de aire.

Los toroides de hierro pulverizado son tan efectivos que de hecho han reemplazado a los inductores con núcleo de aire en la mayoría de los diseños de transmisores modernos. Están disponibles en tamaños con diámetros desde una fracción de pulgada hasta varias pulgadas. En la mayoría de las aplicaciones se requiere un número mínimo de vueltas para crear la inductancia deseada.

 

Toroide reductor de impedancias con varias tomas

 

 

Toroide elevador de impedancias con varias tomas

 

 

 

 

 

Balunes para acoplamiento de impedancias

 

Transformadores balun utilizados para conectar cargas o generadores balanceados y no balanceados

 

Un balun es un transformador de línea de transmisión conectado para realizar el acoplamiento de impedancias en un amplio intervalo de frecuencias. La figura muestra una de las configuraciones más utilizada. Este transformador suele estar arrollado en un toroide, y los números de vueltas de los devanados primario y secundario son iguales, originando así una relación de vueltas de 1:1 y una relación de acoplamiento de impedancias de 1:1.

Los puntos indican la fase de los devanados. Observe la manera inusual en que se conectan los devanados (bobinados). A un transformador conectado de este modo se le llama "balun", término que se deriva de las primeras letras de las palabras en inglés BALanced y Unbalanced que corresponden a "balanceado y "no balanceado", respectivamente ya que estos transformadores por lo común se usan para conectar una fuente balanceada con una carga no balanceada, o viceversa.

En el circuito de la figura a), un generador balanceado se conecta a una carga (conectada a tierra) no balanceada. En b), un generador (conectado a tierra) no balanceado puede conectarse a una carga balanceada. La figura ilustra cómo usar un balun con relación de vueltas 1:1 para acoplamiento de impedancias. Con la configuración que se muestra en a) se obtiene un aumento de impedancia. Una impedancia de carga de cuatro veces la impedancia de la fuente Zi proporciona el acoplamiento correcto. El balun hace que la carga "parezca" de Z1/4 para acoplarse a Zi. En la figura b) se indica cómo obtener una reducción de impedancia. El balun hace que la carga Zl "parezca" igual a 4Zi.

Existen muchas otras configuraciones de balunes con diferentes relaciones de impedancia. Es posible interconectar varios balunes comunes 1:1 para obtener razones de transformación de impedancia de 9:1 y 16:1. Además, los balunes también pueden conectarse en cascada de modo que la salida de uno aparezca como la entrada de otro, en forma sucesiva. Al conectar los balunes en cascada, las impedancias pueden aumentar o disminuir según relaciones mayores.

Un punto importante que cabe destacar es que los devanados de un balun no se hacen resonar a una frecuencia particular con capacitores. Por lo tanto, operan en un amplio intervalo de frecuencias. Las inductancias de los devanados se hacen tales que las reactancias de los inductores son cuatro o más veces superiores a la impedancia más alta que se está acoplando. De esta manera, el transformador proporcionará el acoplamiento de impedancia designada en un gran intervalo de frecuencias.

Esta característica de banda ancha de los transformadores tipo balun permite a los diseñadores crear amplificadores de potencia de RF de banda ancha. Estos dispositivos proporcionan una magnitud específica de amplificación de potencia en un ancho de banda extenso y se prefieren en particular en equipo de comunicaciones que debe operar en más de un intervalo de frecuencias. En vez de tener un transmisor para cada banda deseada, se puede usar un solo transmisor.

Cuando se emplean amplificadores sintonizados convencionales, es necesario proporcionar un método para conmutar al circuito sintonizado correcto. Estas redes de conmutación son complejas y costosas, además, de que introducen problemas, en particular en frecuencias altas. Para hacer su acción eficaz, los interruptores se deben localizar muy cerca de los circuitos sintonizados para que no se introduzcan inductancias y capacitancias parásitas por el interruptor y los conductores de interconexión.

Una forma de resolver el problema de conmutación consiste simplemente en usar un amplificador de banda ancha. No se necesita conmutación ni sintonización. El amplificador de banda ancha proporciona amplificación y el acoplamiento de impedancia necesarios.

El problema principal con el amplificador de banda ancha es que no proporciona el filtrado necesario para deshacerse de las armónicas. Un medio para solucionar este problema es generar la frecuencia deseada a un nivel de potencia más bajo, dejando que circuitos sintonizados eliminen las armónicas, y proporcionando la amplificación de potencia final con el circuito de banda ancha. El amplificador de potencia de banda ancha opera como amplificador lineal clase A o clase B en push-pull, por lo que el contenido inherente de armónicas de la salida es muy bajo.

Amplificador de potencia lineal clase A de banda ancha

 

 

La figura muestra un amplificador lineal de banda ancha típico. Observe que dos transformadores balun 4:1 se conectan en cascada en la entrada para que la baja impedancia de entrada en la base aparezca como una impedancia 16 veces más alta que la de entrada. La salida usa un balun 1:4 que aumenta la muy baja impedancia de salida del amplificador final, a una impedancia cuatro veces mayor para igualar la impedancia de carga de la antena. En algunos transmisores, los amplificadores de banda ancha pueden estar seguidos de filtros pasabajos o filtros Pi.

 

 

Adaptación con red tipo "L "

 

 

Circuito de red de adaptación tipo "L"

 

Para el caso en el que la resistencia de la antena R1 es menor que la Ri (impedancia de la Fuente)

o sea que tenemos una antena con 24.19 ohms y un equipo de 50 ohms de impedancia

 

Se supone que la impedancia de la fuente interna y la de la carga son resistivas, donde Zi = Ri y Z1 = R1 y R1 < Ri. Además éste circuito tiene la propiedad de actuar como filtro pasa bajos por tener el capacitor conectado en paralelo.

jx= reactancia de la antena

jx2= reactancia por desacople de impedancias entre antena y generador

XL = reactancia total

Cuando jx tiende a ser cero : la antena está en resonancia o sea no está corta ni larga independientemente de su impedancia de radiación de la antena.

cuando jx2 tiende a cero : La impedancia de la antena y la impedancia del generador tienden a ser iguales. por lo tanto R = Z

 

 

Z =R + jx = impedancia de la antena = raiz( (24.19 x 24.19)+(0.1903x0.1903)) = 24.1907 ohms = Z

 

Z = 24.19074 Ohms

 

Impedancia de la fuente Zi = Ri = Resistencia de la fuente = 50 ohms

Z = R1 = Resistencia de la carga ( antena ) = 24.19074 ohms ; solo si la jx es mas o menos igual 0 es decir que la antena está en resonancia, y jx2 será el valor de la reactacia por acoplamiento entre carga y antena.

 

R1= 24.19074 Ohms

Ri = 50 Ohms

 

XL= RAIZ((50x24.19074)- (24.19074 x 24.19074))= 24.9869 ohms = reactancia inductuva total

 

XL = 24.9869 ohms

 

jx = +0.193 reactancia inductiva de la antena

jx2= XL - jx

jx2 = 24.9869 - 0.193 = 24.7939 OHMS reactancia de acoplamiento

XC = ( 50 x 24.19074 ) / 24.9869 = 48.406 ohms

 

XC =48.406 ohms

 

L =24.9869 ohms / ( 2 x 3.14159 x 24.92 mhz) =0.1595 uH micro henrios

 

L = 0.1595 uH

 

 

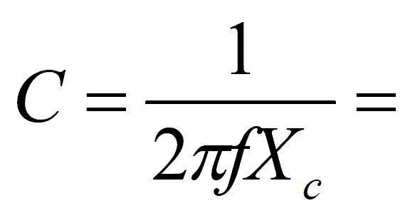
C = 1 000 000/ ( 2 x 3.14159 x 24.92 mhz x 48.406 ohms) = 131.939 pF pico faradios

 

Resumen cuando la alimentación es mayor a la resistencia de la antena

 

El circuito de adaptación se hará con un capacitor en paralelo de 131.9 pico faradios y una bobina de 0.16 micro henrrios en serie lo más cercano al punto de alimentación de la antena, El circuito adaptador aunque fisicamente ésta en la antena la realidad es que no tiene que ver con ella, ya que es un elemento complementario para tranformar la diferencia de impedancias 50 ohms a 24.19 ohms en éste caso. Para lograr optimizar al máximo la potencia radiada por la antena.

 

La bobina se construiye con 4 espiras en un diametro de 1/2 pulgada, y con una longitud de 1.7 cm alambre de 2.59 mm de diámetro esmaltado

va en serie despúes de conectar el capacitor que está en paralelo.

 

jx= reactancia de la antena

jx2= reactancia por desacople de impedancias entre antena y generador

XL = reactancia total

Angulo de desfase de corriente en antena =Arc Tang (jx/R)= Arc Tang (0.193 / 24.1907) = Arc Tang (0.007866 ) = 0.45 grados

 

 

Z =R + jx = impedancia de la antena = raiz( (24.19 x 24.19)+(0.1903x0.1903)) = 24.1907 ohms = Z

Cuando la potencia es absorbida completamente por la carga en el extremo de la línea, la relación de ondas estacionarias es uno. Si la línea está terminada por una resistencia pura, tendremos que la relación de ondas estacionarias "ROE" será la relación entre la impedancia de carga y la impedancia de la línea. Cuanto mayor sea el cociente de reflexión, mayor será la ROE normalmente referida a la tensión o a la corriente

 

SWR antes del acoplamiento = (Zi /Z1) = 50 ohms / 24.1907 ohms = 2.0

corrigiendolo con el acoplamiento red tipo "L"

o en lugar de ello tambén se puede utilizar un balun 1:2

Por ahora solo lo planteamos coregir con acoplamiento tipo "L"

 

 

Ri =50 ohms XL = 24.9869 ohms

Za = raíz de (50 x50 + 24.9869 x 24.9869)= 55.89 ohms

Cuando la potencia es absorbida completamente por la carga en el extremo de la línea, la relación de ondas estacionarias es uno. Si la línea está terminada por una resistencia pura, tendremos que la relación de ondas estacionarias "ROE" será la relación entre la impedancia de carga y la impedancia de la línea

 

Por lo tanto la SWR despues de acoplamiento =55.89 / 50 = 1.11 es correcta.

S.W.R. = 1.11

ok

 

 

 

 

Fecha inicio: 7/mayo/2002.

Actualizado February 12, 2016

Hoy es :
Unión Internacional de Telecomunicaciones


XE3RLR

Javier Gómez Villalpando

International Amateur Radio Union

Qsl.net

Qrz.com

Audio en tiempo real

QSL INFORMATION XE3RLR : Javier Gómez Villalpando, email: [email protected]

Todos los Derechos Reservados © Javier Gómez Villalpando prohibida la reproducción total o parcial de las imágenes y contenidos expuestos en este sitio,.salvo que sea utilizada con fines educativos o científicos o sin propósitos lucrativos, será libre..Versión 6.00, México MMXVI.

Cualquier aclaración sobre el sitio, comunicarse por correo eléctronico y con gusto les atenderemos, el contenido del mismo puede variar por actualizaciones. Esto es con el próposito de mejoras, en caso de copiar te recomiendo copiar junto con la ligas de sitio, para que se actualicen tus enlaces automaticamente.