ЕЛЕКТРОНСКИ ОГРАНИЧУВАЧ НА ПОЧЕТНИОТ СТРУЕН ИМПУЛС ПРИ ВКЛУЧУВАЊЕ НА УРЕДИ
I Z33T home page I страници на македонски јазик I
Овој електронски склоп е многу корисен затоа што спречува „прегорување“ на осигурувачот во моментот на вклучување на некој електричен уред. Освен тоа, го продолжува животниот век на електричните уреди приклучени на него. Се препорачува користење на ваков склоп кај сите електрични уреди кои користат трансформатор помоќен од 300 VA.

При вклучување на трансформатори, електрични мотори и други индуктивни уреди во електричното коло, се јавува многу голем струен импулс, кој иако е краткотраен (додека да се воспостави магнетниот флукс), може да предизвика проблеми.
На пример, во моментот на вклучување на трансформатор во струјното коло, осигурувачот „прегорува“ односно автоматски го исклучува уредот бидејќи почетниот струен импулс може да е многукратно поголем од јачината на струјата која тече при нормална работа на трансформаторот

На горнава фотографија се гледа почетниот струен импулс
во моментот на вклучување на некој електричен уред.
Јачината на струјата во првите неколку милисекунди по вклучувањето
може да биде неколку десетици пати поголема отколку струјата потребна
за нормална работа на самиот електричен уред.
Освен кај уреди со индуктивни товари, ваков почетен струен импулс се јавува и кај уреди што имаат големи кондензатори (додека не се наполнат кондензаторите).
Ваквите струјни импулси, при вклучување на електричните уреди се несакана појава и го скратуваат векот на траење на самите уреди, а често пати предизвикуваат „прегорување“ на осигурувачот во моментот на вклучување на уредот.
Големината на почетниот струен импулс при вклучување на некој уред не е секогаш иста и зависи од фазната состојба на наизменичниот напон во моментот на вклучување на тој уред.
Спротивно на она што вообичаено може да се помисли, струјниот импулс е најголем кога при вклучувањето на наизменичниот напон, неговата фаза поминува низ нулата, а најмал кога при вклучувањето на уредот, фазата на наизменичниот напон е поблиску до пикот од својата бранова форма. Подетално објаснување зошто е тоа така, можете да прочитате на крајот од овој напис.
Колку е помоќен електричниот уред (трансформатор) - толку е поголем почетниот струен импулс при вклучување. Трансформатори кои се помоќни од 200-300 VA веќе создаваат доволно висок струен импулс, што може да прегори осигурувачот во моментот на вклучување. Ставање на поголем осигурувач не е добра идеја, бидејќи треба да се употреби осигурувач со многу повисока струја на исклучување, па така ќе се изгуби основната функција на заштита на самиот уред.
Колку изнесува јачината на струјата на почетниот струен импулс при вклучување на некој електричен уред?
Ова ќе го објаснам со пример:
Нека е даден електричен уред кој за својата работа користи вграден трансформатор со моќност од 1000 VA. Примарниот калем на таков трансформатор има отпорност за еднонасочен напон од околу еден Ом. Во моментот на вклучување во струја на овој трансформатор, во првите милисекунди, додека да се воспостави магнетниот флукс, вршната вредност на струјниот импулс може да достигне повеќе од 320А ! (како што покажува едноставната пресметка со примена на омовиот закон):
. (1)
Сепак ова не е случај при секое вклучување бидејќи јачината на почетниот струен импулс зависи од повеќе фактори меѓу кои и од фазната состојба на наизменичниот напон во моментот на вклучување. Претходно спомнав дека струјниот импулс е најголем кога при вклучувањето на наизменичниот напон, неговата фаза поминува низ нулата.
За да се ограничи почетниот струен импулс при вклучување на електричните уреди, проектирав и констуирав едноставен електронски склоп кој содржи само неколку елементи, лесен е за изработка и е докажан во пракса, а ќе ве чини не повеќе од 1000 денари.
кликнете на горнава слика за да ја видете во поголем размер
Оние кои ќе го изработат овој електронски склоп никогаш повеќе ќе немаат проблем со прегорување на осигурач при вклучување на некој електричен уред.
Еве ја шемата:
кликнете на горнава шема за да ја видете во поголем размер
На овој ЛИНК можете да го видите видеото во кое снимив неколку примери на мерење на почетниот струен импулс при вклучување, како и практична употреба на изработениот електронски склоп.
Електронскиот ограничувач што го проектирав и изработив има многукратни предности во однос на вообичаените методи за ограничување на почетниот струен импулс со НТЦ-термистори. При проектирањето настојував да биде што е можно поедноставен, со помал број на елементи, а притоа беспрекорно да си ја врши својата функција.
Опис на работа
Принципот на работа е таков што при вклучување, електричната струја потребна за работа на некој електричен уред поминува најнапред преку овој склоп за ограничување на почетниот струен импулс. На почетокот додека релето не е вклучено струјата поминува преку отпорникот R5 кој ја ограничува струјата во првите моменти по вклучувањето, со што се избегнува висок струен импулс. Откако по неколку десетина милисекунди, релето ќе се вклучи, контактите на релето ги спојуваат краевите на отпорникот R5 а електричниот уред си ја добива целата струја потребна за работа на уредот.
На горнава шема е прикажан електронскиот склоп. На левата страна е влезот/приклучокoт за мрежното струјно напојување од градската мрежа 230V. Наизменичната струја најнапрд поминува низ мал стаклен осигурувач (Fuse), а потоа оди преку кондензаторот C1 кон диодите од грецовиот спој. Кондензаторот C1 со својата капацитивна реактанса делува како отпорник за наизменична струја и го намалува наизменичниот напон на понизок наизменичен напон кој откако ќе се претвори во еднонасочен, служи за напојување на релето.
Паралелно со кондензаторот C1 се отпорниците R2 и R3 преку кои се празни кондензаторот C1 откако склопот (заедно со уредот кој се штити од превисок почетен струен импулс) ќе се исклучи. На тој начин, се отстранува ризикот од електричен шок доколку некој ги допре со прст краевите на кондензаторот C1 откако склопот ќе се исклучи.
Отпорникот R1 служи да да го ограничи почетниот струен импулс на самиот кондензатор C1.
Кондензаторот C1 е критичен и мора да биде предвиден да работи со наизменична струја. Таквите кондензатори имаат ознака X2. Исто така, овој кондензатор треба да биде предвиден за наизменичен напон од најмалку 300 V AC. Подолу во овој напис ќе објаснам како се пресметува вредноста што треба да ја има овој кондензатор.
Грецовиот спој служи за да го „исправи“ наизменичнмиот напон и на неговиот излез се добива ендонасочен пулсирачки напон. Овој пулсирачки напон се „пегла“ со електролитскиот кондензатор C2. Истиот кондензатор C2 (додека да се наполни) истовремено служи и за да го одложи вклучувањето на релето за неколку десетици милисекунди. Времето на одложено вклучување зависи од вредноста на кондензаторот C2 и од отпорноста на калемот на релето. Колку е поголема вредноста на C2 и колку е поголема отпорноста на калемот на релето - толку времето на вклучување на релето ќе биде поодложено, но и времето за отпуштање на контактите на релето ќе биде подолго.
Затоа треба да се внимава вредноста на C2 да не биде многу поголема отколку што е потребно, бидејќо времето на исклучување на релето ќе биде подолго, па така, ако има краткотраен прекин на струјата од градската мреже и потоа струјата веднаш се врати, контактите на релето можеби се уште нема да бидат исклучени и во таков случај почетниот струен импулс нема да биде ограничен од отпорникот R5 затоа што R5 се уште ќе биде краткоспоен додека да се испразни кондензаторот C2 преку отпорноста на калемот од релето.
Значи вредноста на C2 треба да биде доволно голема само колку што е потребно за релето да вклучи со закаснување од околу 100 - 150 милисекунди, за да може при снемување на струја, C2 брзо да се испразни и релето брзо да ги отпушти своите контакти и да биде подготвено за следно вклучување на струјата. Добар компомис за овие две спротивставени услови е ако вредноста на C2 биде околу 220 микрофаради при отпорност на калемот на релето од околу 1000 оми. Ако имаме реле со помала отпорност на калемот, тогаш капацитетот на C2 треба да биде соодветно поголем и обратно.
Наместо грецов спој, може да се стават 4 обични диоди предвидени да работат со висок напон, а струјата нека биде најмалку 1 А, за да има комотна маргина. На пример можат да се употребат 4 диоди од типот 1N4007.
Еднонасочниот напон на краевите од C2 се ограничува (стабилизира) со зенер диодата ZD-24V. На тој начин го осигуруваме потребниот напон од 24 волти за работа на релето.
ЛЕД диодата служу за светлосна индикација на работата на склопот, а струјата низ ЛЕД диодата се ограничува со отпорникот R4.
Пресметка на вредноста на кондензаторот C1
Претходно спомнав дека улогата на кондензаторот C1 со својата капацитивна реактанса е да го намали наизменичниот напон од 230 V на вредност потребна за работа на релето. Вредноста на кондензаторот зависи од јачината на струјата која тече низ релето, односно од отпорноста на калемот на релето и од работниот напон на релето.
Чекор-1: Пресметка на потребната јачина на струјата за напојување на релето.
Потребната јачина на струјата е определена од оптоварувањето, односно од отпорноста на калемот на релето.
Релето е предвидено за еднонасочна струја со напон од 24V.
Нека на пример, калемот на релето има отпорност од 1050 оми (такво реле имав јас), тогаш јачината на струјата што ќе протече низ калемот на релето при напон од 24V, ќе биде:
. (2)
Чекор-2: Пресметка на падот на напонот на краевите од кондензаторот C1
Напонот на приклучокот од градската мрежа изнесува 230V наизменична струја, а за работа на релето е потребен напон од 24 волти еднонасочна струја.
Ако имаме предвид дека при исправување на наизменичната струја со диоди (грецов спој), за да се добие 24 V еднонасочен напон, потребен е 1.41 пати понизок наизменичен напон, тогаш наизменичниот напон на влезот од грецовиот спој треба да биде:
24 / 1.41 = 17V.
За секој случај (бидејќи напонот во градската електрична мрежа не секогаш е 230V) предвидуваме мала резерва и ќе сметаме дека потребниот наизменичен напон треба да биде малку повисок (околу 20 волти), за потоа, при исправување со Грецовиот спој, на краевите од електролитскиот кондензатор C2 да добиеме еднонасочен напон од околу 28 волти, што потоа со зенер диодата ќе го стабилизираме На 24 V.
Значи кондензаторот C1 треба да предизвика пад на напонот од:
. (3)
Чекор-3: Капацитивна реактанса
Потребната капацитивната реактанса (Xc) што треба да ја има кондензаторот C1, ја пресметуваме со следнава формула:
. (4)
Каде (Vdrop) е потребниот пад на напонот за да се овозможи напон за работа на релето (Vdrop го пресметавме погоре, во изразот 3), а (I) е јачината на струјата потребна за работа на релето што ја пресметавме погоре, во изразот 2.
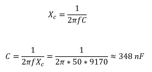
Чекор-4: Пресметка на потребниот капацитет на кондензаторот C1
Капацитетот (C) што треба да го има кондензаторот C1 за да се постигне капацитивната реактанса (Xc) од 9170 оми при фреквенција на струјата од градската мрежа од 50 Hz, ќе биде:
. (5)
Потребниот капацитет што треба да го има кондензаторот C1 може да се пресмета и на друг начин, ако се познати јачината на струјата ( I ) и падот на напонот (Vdrop) што треба да го обезбеди кондензаторот:
. (6)
(Vdrop = 210 V) го пресметавме погоре, во изразот 3.
Значи добивме дека капацитетот на кондензатoroт C1 треба да биде 348 nF. Бидејќи таа вредност не е стандардна, одбираме најблиска повисока вредност. Во случајов одбрав кондензатор со стандардна вредност од 470 nF предвиден да работи на наизменичан напон од минимум 300 V AC (кондензаторот треба да има ознака X2). Во Логинг Електроникс - Скопје таков кондензатор чини околу 25 денари.
Доколку имаме реле со друга вредност на работен напон и друга отпорност на внатрешниот калем, со помош на горниве објаснети пресметки, ќе можеме да пресметаме колкава вредност треба да има кондензаторот C1 за соодветното реле. Притоа се подразбира дека контактите на релето треба да бидат предвидени за да ја издржат потребната моќност на електричниот уред што намераваме да го користиме и чиј почетен струен импулс ја ограничуваме со овој склоп.

Изработка на прототип печатена плочка
за електронскиот ограничувач на почетен струен импулс
со праисториска постапка - со употреба на лак за нокти
Пресметување на вредноста на отпорникот R5 и неговата моќност
За да ја пресметаме потребната отпорност на отпорникот R5 треба да ја знаеме моќноста на електричниот уред кој ќе биде приклучен (или моќноста на трансформаторот во приклучениот уред) или да ја знаеме струјата која е потребна за нормална работа на приклучениот уред.
За пример ќе земеме дека уредот има моќност од 1000 VA.
Јачината на струјата која која ќе тече кон уредот со моќност од 1000 VA приклучен на напон од 230 V ќе биде:
I = 1000 / 230 = 4.4 A
Потребната ефективна отпорност на отпорникот Р5 која ќе ја овозможи јачината на струјата од 4.4 А ја пресметуваме со Омовиот закон:
R = 230 / 4.4 = 52 оми (приближно).
Бидејќи оваа вредност не е стандардна, можеме да добиеме приближна отпорност со паралелно поврзување на два отпорници од по 100 оми, при што ќе добиеме 50 оми, а тоа е доволно добро за оваа намена.
За да ја пресметаме потребната моќност на отпорникот R5, пак ќе се послужиме со Oмовиот закон:
Добивме дека моќноста на отпорникот R5 со вредност од 50 оми треба да биде 1058 W.
Тоа е огромен отпорник и многу скап, но нема место за паника, бидејќи отпорникот ќе биде вклучен во колото само многу краток временски период од околу 100-150 милисекунди, додека не се активира релето. Притоа главниот пик на струјниот импулс трае само околу 5-10 милисекунди. Во ваков случај доволно е ако моќноста на отпорникот R5 биде дури и 100 пати помала од пресметаната моќност за трајна континуирана оптовареност, па така добиваме дека отпорник со моќност од 10 - 20 W ќе биде сосема доволен. Интересно е што наместо обичен отпорник за R5, при експериментирање со прототипот на опишаниов електронски ограничувач на неколку пати употребив обична електична светилка со усвитено влакно од 200W и резултатите беа одлични, само што поради големината на светилката на крајот се одлучив за употреба на класични ќерамички отпорници (поврзав паралелно два отпорници од по 100 оми/10W, при што добив 50 оми/20W).
Печатената плочка откако непотребните бакарни површини се отстранети
(растворени) со мешавина на солна киселина (HCL) и хидроген (H2O2) 30%
Останува да се избушат дупките и да се залемат елементите.
Во следнава табела е детален попис на потребниот материјал и цените во ноември 2024 година:
кликнете на горнава табела за да ја видете во поголем размер
Снимив едно видео во кое вршам мерење на струјниот импулс и практичната примена на овој многу корисен електронски склоп.
Видеото можете да го видите на овој ЛИНК.
Откако направениот прототип на овој корисен електронски склоп одлично се покажа во пракса, изработени се печатени плочки во професионален софтвер, за што сум му бескрајно благодарен на мојот пријател Горан Трајановски (Z35O) од Скопје. Подолу има линк на кој ги поставив гербер фајловите за печатената плочка:



На овој ЛИНК можете да ги симнете гербер фајловите од печатената плочка.
Овие фајлови можете да ги испратете на некоја компанија која професионално ќе ви ги изработи печатените плочки. На интернет можат да се најдат многу фирми кои изработуваат печатени плочки за евтина цена. Кај нас во Македонија тоа е светски познатата фирма hi-tech, но има и други по светот, на пример: jlcpcb.com
На овој ЛИНК е PDF-фајл со изгледот на печатената плочка (поглед од страна на бакарните водови) во размер 1:1, за оние кои сакаат печатената плочка сами да си ја изработат со „метод на пегла трансфер“. Плочката е со димензии 120х70mm.


Неколку готови печатени плочки

Неколку комплетно готови склопови



- - - - - - - - - - - - - - - - - - - - - -
ОБЈАСНУВАЊЕ
зошто почетниот струен импулс е најголем кога во моментот на вклучување трансформаторот на наизменична струја, фазната состојба поминува низ својата нула:
Почетниот струен пик (или inrush current) при вклучување на моќен трансформатор зависи од моментот на фазата на напонот во моментот на вклучување.
Овој феномен се јавува поради магнетизацијата на јадрото на трансформаторот и неговата магнетна хистереза.
Најголемиот струен пик се јавува кога трансформаторот се вклучува во моментот кога напонот на наизменичната струја менувајќи ја својата вредност и насока во согласност со брановидната синусоидална форма поминува низ нулата:
. 
Причина:
Во моментот на вклучување, јадрото на трансформаторот почнува да се магнетизира, при што се генерира магнетен флукс. Овој флукс треба да следи промената на напонот. Кога напонот поминува низ нулата, магнетниот флукс теоретски би требало да биде близу максималната вредност (според законите на електромагнетната индукција).
Но, поради тоа што нема иницијална магнетизација на јадрото (од претходен магнетен флукс), флуксот може значително да го надмине нормалниот оперативен флукс, предизвикувајќи заситување на јадрото.
Ова заситување резултира со огромна струја во примарниот калем на трансформаторот.
Спротивно на ова, ако трансформаторот се вклучи кога напонот е во својата максимална амплитуда, магнетниот флукс ќе започне од нула (или блиску до нула), и флуктуацијата ќе биде многу помала. Ова резултира со значително помал струен пик.
Заклучок:
Најголемиот почетен струен пик се јавува кога фазата на наизменичниот напон поминува низ нулата во моментот на вклучување на трансформаторот.
- - - - - - - - - - - - - - - - - - - - - -
Миле Кокотов (2024 година)
Авторот е магистер по технички науки, со искуство од речиси 45 години во електрониката, РФ-техниката и аудиотехниката (професионално и аматерски)
Разгледајте ги и другите написи и проекти на неговата веб-страница
I Z33T home page I страници на македонски јазик I