|
| |
|
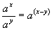
Transposition of Terms
|
| |
|
If
|
|
, then
|
|
,
|
|
.
|
|
|
If
|
|
, then
|
|
,
|
|
| |
|
,
|
|
,
|
|
.
|
|
|
If
|
|
, then
|
|
,
|
|
| |
|
,
|
|
,
|
|
.
|
|
|
If
|
|
, then
|
|
,
|
| |
|
,
|
|
,
|
|
|
Decibels
|
|
The number of dB by which two power
outputs P1 and P2 (in Watts)
may differ, is
expressed by
|
|
|
or in terms of volts,
|
|
|
or in current,
|
|
|
while power ratios are independent of source and load impedance
values, voltage and current ratios in these formulas hold true only
when Z1 and Z2 are equal. In circuits where these impedances differ,
voltage and current ratios are expressed by,
|
| |
|
or,
|
|
|
dB Expressed in Watts & Volts
|
dB*
|
Above Zero Level
|
Below Zero Level
|
|
Watts
|
Volts
|
Watts
|
Volts
|
|
0
|
0.0010
|
0.775
|
0.001000
|
0.7746
|
|
1
|
0.0013
|
0.869
|
0.000794
|
0.6904
|
|
2
|
0.0016
|
0.975
|
0.000631
|
0.6153
|
|
3
|
0.0020
|
1.094
|
0.000501
|
0.5483
|
|
4
|
0.0025
|
1.227
|
0.000398
|
0.4888
|
|
5
|
0.0032
|
1.377
|
0.000316
|
0.4356
|
|
6
|
0.0040
|
1.545
|
0.000251
|
0.3883
|
|
7
|
0.0050
|
1.734
|
0.000200
|
0.3460
|
|
8
|
0.0063
|
1.946
|
0.000159
|
0.3084
|
|
9
|
0.0079
|
2.183
|
0.000126
|
0.2748
|
|
10
|
0.0100
|
2.449
|
0.000100
|
0.2449
|
|
11
|
0.0126
|
2.748
|
0.0000794
|
0.2183
|
|
12
|
0.0159
|
3.084
|
0.0000631
|
0.1946
|
|
13
|
0.0200
|
3.460
|
0.0000501
|
0.1734
|
|
14
|
0.0251
|
3.882
|
0.0000398
|
0.1545
|
|
15
|
0.0316
|
4.356
|
0.0000316
|
0.1377
|
|
16
|
0.0398
|
4.888
|
0.0000251
|
0.1228
|
|
17
|
0.0501
|
5.483
|
0.0000200
|
0.1095
|
|
18
|
0.0631
|
6.153
|
0.0000159
|
0.0975
|
|
19
|
0.0794
|
6.904
|
0.0000126
|
0.0869
|
|
20
|
0.1
|
7.746
|
1 x 10 e-5
|
7.75 x 10 e -2
|
|
30
|
1.0
|
24.493
|
1 x 10 e-6
|
2.45 x 10 e-2
|
|
40
|
10.0
|
77.460
|
1 x 10 e-7
|
7.75 x 10 e-3
|
|
50
|
1 x 10 e +2
|
244.93
|
1 x 10 e-8
|
2.45 x 10 e-3
|
|
60
|
1 x 10 e+3
|
774.60
|
1 x 10 e-9
|
7.75 x 10 e-4
|
|
70
|
1 x 10 e+4
|
2,449.0
|
1 x 10 e-10
|
2.45 x 10 e-4
|
|
80
|
1 x 10 e+5
|
7,746.0
|
1 x 10 e-11
|
7.75 x 10 e-5
|
|
90
|
1 x 10 e+6
|
24,493.0
|
1 x 10 e-12
|
2.45 x 10 e-5
|
|
100
|
1 x 10 e +7
|
77,460.0
|
1 x 10 e-13
|
7.75 x 1- e-6
|
|