| 
      
        
           To Bottom of Page  | 
    
       Page 34  | 
    
      
        
           Return to Table of Contents  | 
    
      
        
           HOME  | 
  
| 
       Turns Per Inch  | 
    
       Coil Winding Formulas  | 
  ||||
| 
       Gauge (AWG) or (B&S)  | 
    
       Number Of Turns per Linear Inch  | 
    
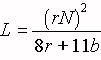
       The following approximations for winding r-f coils are accurate to within approx. 1% for nearly all small air-core coils, where  | 
  |||
| Enamel | S.S.C. | D.S.C. and S.C.C. | D.C.C. | ||
| 1 | - | - | 3.3 | 3.3 | 
       L = self inductance in microhenrys
          | 
  
| 2 | - | - | 3.8 | 3.6 | |
| 3 | - | - | 4.2 | 4.0 | |
| 4 | - | - | 4.7 | 4.5 | |
| 5 | - | - | 5.2 | 5.0 | single-Layer Wound Coils  | 
  
| 6 | - | - | 5.9 | 5.6 | 
       
     | 
  
| 7 | - | - | 6.5 | 6.2 | |
| 8 | 7.6 | - | 7.4 | 7.1 | |
| 9 | 8.6 | - | 8.2 | 7.8 | |
| 10 | 9.6 | - | 9.3 | 8.9 | |
| 11 | 10.7 | - | 10.3 | 9.8 | |
| 12 | 12.0 | - | 11.5 | 10.9 | 
       
     | 
  
| 13 | 13.5 | - | 12.8 | 12.0 | |
| 14 | 15.0 | - | 14.2 | 13.8 | |
| 15 | 16.8 | - | 15.8 | 14.7 | |
| 16 | 18.9 | 18.9 | 17.9 | 16.4 | |
| 17 | 21.2 | 21.2 | 19.9 | 18.1 | 
       Multi-Layer Wound Coils  | 
  
| 18 | 23.6 | 23.6 | 22.0 | 19.8 | 
       
     | 
  
| 19 | 26.4 | 26.4 | 24.4 | 21.8 | |
| 20 | 29.4 | 29.4 | 27.0 | 23.8 | |
| 21 | 33.1 | 32.7 | 29.8 | 26.0 | |
| 22 | 37.0 | 36.5 | 34.1 | 30.0 | |
| 23 | 41.3 | 40.6 | 37.6 | 31.6 | |
| 24 | 46.3 | 45.3 | 41.5 | 35.6 | 
       
     | 
  
| 25 | 51.7 | 50.4 | 45.6 | 38.6 | |
| 26 | 58.0 | 55.6 | 50.2 | 41.8 | |
| 27 | 64.9 | 61.5 | 55.0 | 45.0 | |
| 28 | 72.7 | 68.6 | 60.2 | 48.5 | |
| 29 | 81.6 | 74.8 | 65.4 | 51.8 | Spiral Wound Coils | 
| 30 | 90.5 | 83.3 | 71.5 | 55.5 | 
       
     | 
  
| 31 | 101. | 92.0 | 77.5 | 59.2 | |
| 32 | 113. | 101. | 83.6 | 62.6 | |
| 33 | 127. | 110. | 90.3 | 66.3 | |
| 34 | 143. | 120. | 97.0 | 70.0 | |
| 35 | 158. | 132. | 104. | 73.5 | |
| 36 | 175. | 143. | 111. | 77.0 | 
       
     | 
  
| 37 | 198. | 154. | 118. | 80.3 | |
| 38 | 224. | 166. | 126. | 83.6 | |
| 39 | 248. | 181. | 133. | 86.6 | |
| 40 | 282. | 194. | 140. | 89.7 | |
| 
      
       Return to top  | 
    PAGE 34 | 
      
        
           Return to Table of Contents  | 
    
      
        
           HOME  |