Return-Loss Bridge 對於 2-Way Radio 工程人員來說是一個非常有用的工具, 它的線路結構其實非常簡單(圖一), 當和追蹤訊號產生器及接收電平儀或者頻譜分析儀配合使用時, 它可以有以下的用途:

(1)

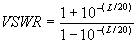
圖二之接駁精確量度某一枝天線在某一頻率時的回饋損失從而根據公式算出準確之電壓定在駐波比.駐 : (公式內 L = Return Loss in dB)

圖三是根據公式繪出之 VSWR vs ReturnLoss 之曲線圖表,假如在接收電平表或頻譜分析儀量度到該天線之回饋損失是 20dB的話, 按公式代入後...即

(2)

圖四是用追蹤訊號產生器及頻譜分析儀繪畫出該天線在一段頻譜內(例如:50-500 MHz) VSWR 及諧振特性曲線如圖五. 一般廠家對於一枝天線之規格大多都是指在諧振頻率上下兩邊都未超出 1 : 2 之定在駐波比為該天線的可用頻寬, 1 : 2 之駐波比根據公式推算 Return Loss 應該為 9.5 dB, 故此在曲線圖五 Return Loss = 9.5 dB 時對應出是諧振頻率正負約 1.5 MHz 左右, 換言之這枝天線的頻寬是約莫 3 MHz . 另外亦可看到圖五裡中心諧振頻率時的 Return Loss 17.5 dB, 再用公式運算就可計出 VSWR = 1 : 1.3

當然, 在實際量度時是不需要每次都要按計數機的, 因為當你購入此電橋時. 廠方都必然會附加了一套電腦軟件讓用者由頻譜分析儀中直接抽取數據運算.

(3)

圖六是用Return Loss Bridge量度出各種濾波器之輸入輸出匹配情況. 雖然一般用頻譜分析儀及追蹤訊號產生器已可以測量出各類 Filter 的通過頻寬響應曲線, 但如果用 Return Loss Bridge 如圖六般去測量的話, 則可得出該 Filter 於諧振頻率時的更尖銳及精確之 50 Ohm 匹配從而得出最大的能量傳輸.

(4)

如是者 Return Loss Bridge 應用在調節轉播站的 Duplexer 時更是不可或缺的一環了. 當然,只用頻譜分析儀及追蹤訊號產生器來調較 Duplexer 已經是相當不俗的了. 但為何有時仍然感覺到中繼站好像還是未在巔峰狀態似的呢 ? 此時最主要的原因就是我們只調節了 Duplexer的頻率響應而沒有顧及到整個 Duplexer 的每一個輸入輸出口的匹配問題, 尤其是當我們用同軸電纜把四或六個空腔連起來的時候就更要注意了. 還記得有一次一群 Ham 友因一次慈善活動而要架設一臨時中繼站於柏架山上, 他們把一套舊的 Duplexer 用頻譜分析儀及追蹤訊號產生器調節至中繼站所用的兩個頻率上並在其中一人家裡試用時卻發現不知怎的中繼器總無法把最弱的訊號轉播開去, 而強度達到 S1 (即約 –121 dBm) 左右的訊號則問題不大 ! 最後建議他們拿來用 Return Loss Bridge 量度一下每個接合點的阻抗匹配時即發現問題之所. 隨即用Return Loss Bridge調節連接用的同軸電纜長度(包括由 Duplexer 連往收發機的一對同軸線)把每個接口都微調至最精確為止才將問題解決 ! 當然, 不可忘記用在中繼站的兩部一收一發的機器, 它們的輸出輸入端子是否也會出現不匹配的情況也要一併考慮啊 ?

(5) 它亦可以用來量度及調較隔離器 isolator 的匹配情況
(6) 配合同軸電纜之規格表數據可找出同軸電纜在那裡出現了短路
(7)

圖七就是用 Return Loss Bridge來測試接收機之選擇性能..包括 Blocking Dynamic Range, Desensitization 2-Tone IMD 的接駁圖. 由於要測試接收機的選擇性需要兩個穩定的訊號源同時加諸於接收機的天線端子上, 而這兩個訊號源一定要互不相干, 故此斷不能就用一個 T 插把兩個訊號產生器連在一起就算了的. 此時 Return Loss Bridge正好就被用來當作了是一個 Hybrid Combiner 並提供了相當足夠的隔離度給予兩部訊號產生器了. 這個設定就模擬了兩個訊號在空中同時到達了接收機的天線端子時的情況了.