Att ta hand om en gammal radio

En radio gjordes inte för obegränsad livslängd, om den användes flitigt behövde den troligen service efter tio år och i bästa fall åtminstone efter tjugo. Elektronrör är förbrukningsvaror liksom glödlampor och rörbestyckade apparater utvecklar mycket värme som förkortar livslängden på komponenterna i dem. Kondensatorer torkar ut av värme eller börjar läcka på grund av försämrad isolering, kolmassamotstånd ändrar värde när de går varma. Kontakter i omkopplare och rörhållare oxiderar och det gör även kolbanan i potentiometrar med skrap som följd. En vridkondensator eller potentiometer kan ha kärvat fast på grund av stelnat fett i bussningen. Skalsnöret går av på grund av nötning och värme och fjädrar i omkopplare kan bli avbrutna.

En apparat som har sextio år på nacken och inte har varit i bruk de senaste decennierna måste gradvis vänjas vid ström. Man ska absolut inte ansluta den till vägguttaget och se vad som händer, risken är stor att man förstör komponenter i den. Här följer en lista med åtgärder som jag vidtar efter att ha burit hem ett "fynd":

Jag tar ut innanmätet och blåser rent från damm med dammsugarslangen. Jag rengör lådans utsida, tangenter och rattar och glasets utsida med en fuktad trasa. Jag kontrollerar att rätt nätspänning är inställd, granskar nätsladdens kondition och ser till att stickproppens skruvar är åtdragna.

Elektrolytkondensatorerna efter likriktaren måste ges tid att bygga upp ett isolerande kemiskt skikt mellan polerna, det som kallas formering. Jag använder en vridtransformator för att höja nätspänningen gradvis. Jag kanske börjar med 50 volt och ökar i steg om 25 volt. När spänningen är uppe i 150 volt är likriktarröret i full gång och jag låter det ta längre tid mellan ökningarna. Totalt tar det en halvtimme innan jag avbryter formeringen vid 230 volt. Under proceduren finns jag i närheten för att reagera på felsymptom. Om jag befarar att kondensatorn på grund av hög ålder inte fungerar löder jag bort trådarna, ansluter den till en variabel likspänningsskälla via 10 kohms-motstånd och ökar långsamt alltmedan jag mäter läckströmmen. Efter urladdning mäter jag kapacitans och växelströmsmotstånd (ESR).

En pappersisolerad kondensator som alltid ska bytas sitter mellan slutrörets styrgaller och föregående stegs anod. Den läcker alltid mer eller mindre och byts mot en modern plastisolerad kondensator, annars blir ljudet distorderat och slutröret förstörs av för hög ström. Andra kondensatorer som ska bytas är de som eventuellt sitter på nätsidan av transformatorn eller över sekundärlindningen. Kondensatorer mellan nätledning och chassi måste vara Y-märkta med högst 4700 pF kapacitans och mellan nätpolerna får endast sitta X-märkt MP-kondensator (självläkande metalliserad typ). Ett generellt råd är att byta alla pappersisolerade kondensatorer mot plasttyper, även om läckningen inte vållar problem där de sitter kan man utgå från att kapacitansvärdet har stigit med 25-50 % vilket påverkar ljudet om de sitter i tonkontrollkretsar. Gamla papperskondensatorer kan vara märkta 1500 V, det var den provspänning som de skulle tåla under en sekund men arbetsspänningen var max. 500 V. Sådana kan ersättas med plastisolerade för 400 V, undantaget är kondensator som sitter över utgångstransformatorns primärlindning där den bör tåla 1000 V DC. Lågspänningselektrolyter brukar ha torkat och även om de har behållit sin kapacitans kan man räkna med förhöjt ESR vilket påverkar funktionen.

Jag provar rören i min rörprovare och ersätter nedgångna rör med friska. Innan jag ägde rörprovare bytte jag till ett obegagnat rör och undersökte om det drog mer ström än det som satt där från början. Om rören rengörs med fuktad trasa får man se till att inte torka på typbeteckningen, den försvinner lätt. Rörstiften kan vara svårt oxiderade, rentav rostiga, och då skrapar jag dem rena. Lite kontaktsprej i rörhållarnas hylsor kan vara befogat om föregående behandling inte hjälper helt. Ledande färg på glasets utsida ska vara förbunden med ett jordande stift, om den förbindelsen är bruten kan röret självsvänga. Jag har lyckats att med några varv tunn blanktråd runt metallfärgen reparera förbindelsen. Det magiska ögat eller bandet, avstämningsindikatorn, har nästan alltid förlorat sin gröna färg. Det är det rör som har kortast livslängd i radion som naturligtvis fungerar lika bra ändå. Ändå ger ögat radion dess charm och man får hålla ögonen öppna efter en frisk ersättare som kan vara dyr och svår att hitta.

Jag byter brända eller starkt svärtade skallampor. Apparater från 1930-talet saknar i regel säkringar och då sätter jag in nätsäkring, är jag rädd om radion är det befogat med säkring även på anodspänningssidan. Om en transformatorkärnas fjäderbelastade temperatursäkring har löst ut får man inte löda dit den igen utan vidare åtgärd, där används en speciell legering som smälter vid 90 grader, så reparation måste kompletteras med en glasrörssäkring. Selenlikriktare åldras och får ökat spänningsfall vilket alstrar värme som påskyndar förfallet. Jag ersätter den med en kiseldiodbrygga och om anodspänningen därefter blir för hög behövs ett korrigerande motstånd i serie. Med vår nuvarande nätspänning 230 V ställs jag inför valet mellan 220 och 240 V på omkopplaren. Med kiseldioder blir det det högre värdet och att glödspänningen blir för låg skadar inte funktionen. Om det högre alternativet är 250 V mäter jag anod- och glödspänningar för att avgöra om det duger, i annat fall får det bli 220-läget som ibland saknar alternativ och då blir glödspänningen för hög. Särskilt skallamporna får kort livslängd så jag sätter in ett motstånd på några tiondels ohm och mäter med en pålitlig digitalvoltmeter att spänningen blir rätt.

Om inget ser onormalt ut när jag granskat underredet ansluter jag lådans högtalare med en skarvkabel och provkör med chassiet löst på bordet så att jag märker om något börjar ryka eller låta oroväckande. Är det en allströmsapparat som alltså saknar nättransformator använder jag en fulltransformator för att galvaniskt skilja apparatchassiet från elnätet. Gör man inte det leker man med döden.

Om det hörs ett tydligt brum trots att volymkontrollen är neddragen är filterkondensatorerna uttorkade och behöver bytas. Man kan tillfällig parallellkoppla dem med friska kondensatorer för att se om brummet försvinner. Titta på originalkondensatorernas höljen innan de kastas, där finns ibland tillverkningsdatum med år och månad och det är kanske den enda ledtråden till apparatens ålder. Elektrolytkondensatorer med dubbla sektioner brukar ha märkning, röd prick eller "Outer", för den pol som ska anslutas närmast likriktaren eftersom den har bäst kylning. Tänk på att minuspolen inte alltid är ansluten direkt till chassiet, då måste den isoleras från det. Jag provar om det hörs brum när jag i grammofonläget vidrör anslutningshylsan. Om volym- och tonkontrollerna raspar sprejar jag kontaktsprej av den självdunstande typen i någon liten öppning i potentiometerhöljet och vrider fram och tillbaka. Jag växlar mellan våglängdsområdena och hör om det hörs stationer när jag har en antenntråd ansluten. Ofta krävs det kontaktsprej på omkopplarna och på vridkondensatorns fjädrande kontakt som jordar rotorn. Använd aldrig sådan sprej som innehåller olja såsom 5-56 eller WD-40.

Jag ser till att stationsinställningsratten går smidigt. Om den kärvar kan skalsnörets löptrissor behöva lite olja och vridkondensatorns kugghjul kan också behöva smörjas. Om man vrider ratten trots att den kärvar är risken överhängande att snöret går av och det är det tråkigaste och mest tidsödande jobb man kan råka ut för att ersätta det. Om en vridkondensator eller potentiometer har kärvat fast på grund av stelnat fett i bussningen värmer jag där med en lödkolv tills fettet blir flytande och i bästa fall tränger ut. Jag försöker få in lite tunn olja, annars kanske felet kommer tillbaka när fettet har stelnat igen. Om en strömbrytare kärvar har jag plockat isär den, renskrapat kontakterna och smörjt den rörliga delen.

En smula brum från strömförsörjningen brukar finnas i rörbestyckade radior, kunderna var inte så kräsna på 1930- och 1940-talen. Elektrolytkondensatorerna efter likriktaren hade lägre kapacitans och om högtalaren hade elektromagnet brukade den användas som filterdrossel med svagt brum som följd även om högtalaren hade en kompensationslindning i motfas. I lågprisapparater med permanentmagnetisk högtalare kan slutrörets anod matas från reservoarkondensatorn närmast likriktaren där det finns växelströmsrester, i sådana fall har jag satt en extra filterlänk med ett motstånd eller liten drossel följd av en elektrolytkondensator. Man får inte öka reservoarkondensatorns kapacitans mer än vad rördatabladet tillåter, likriktarrör tål inte mer än en viss mängd toppväxelström genom kondensatorn, men på andra sidan av drosseln går det bra att använda högre kapacitans för bättre brumreducering. Om radion är så modern att den har FM-bandet är det vanligt att utgångstransformatorn används som filterdrossel då den har ett uttag på primärlindningen dit spänningen från likriktaren förs. Strömmen till slutrörets anod kommer genom motfaslindning att utbalansera brummet i den ström som försörjer de övriga strömförbrukarna i apparaten, detta under förutsättning att filtrets motstånd och kondensator håller angivna värden. Initialt brum förvinner därför då rören har värmts upp. Brum kan alstras av glödströmmen i föregående LF-rör där signalnivån är låg, speciellt om katoden inte är jordad. Där det inte har hjälpt med rörbyte har jag med kiseldiod och glättningskondensator matat röret med likström. Modulationsbrum, att en stark bärvåg på mellanvåg eller kortvåg är behäftad med brum, beror på att radiosignalen inte bara kommer från antennen utan även från elnätet via kapacitiv koppling i transformatorn till likriktardioderna där signalen blandas med nätfrekvensen. Botemedel är avkopplingskondensator på 10 nF över varje diod men den ska vara gjord för tre gånger växelspänningen. Alternativt kan man prova med ett nätfilter efter strömbrytaren, men observera att båda dessa metoder sätter S-märkningen ur spel så att endast den med kunskap om och erfarenhet av komponentval och monteringssätt ska våga sig på modifieringen. Lekmän avrådes definitivt!

Så är det dags för trimning med signalgenerator och utnivåmätare. Helst ska man ha serviceanvisning för det duger inte att skruva på måfå för att se vad som händer och den som är okunnig i trimningsproceduren gör bäst i att överlåta den till sakkunnig person. I brist på mätutrustning får man ratta in en svag men stabil sändare på känd frekvens och använda öronen, men resultatet blir aldrig lika bra som med instrument. Mellanfrekvenstransformatorernas trimkärnor kan sitta fast, bruka inte våld för då går de sönder. Jag värmer en instrumentskruvmejsel av metall med lödpennan så att det fixerande vaxet runt trimskriven mjuknar. Justera med plastisolerat trimverktyg försiktigt för max signalstyrka, mer än något varv behövs inte. Vissa mottagare kräver sveptrimning för korrekt MF-bandbredd. FM-delen trimmar jag med signalgenerator och oscilloskop för lägsta distorsion. När MF-delen är klar tar jag ett våglängdsområde i taget, först oscillatorn så att skalan stämmer och sedan signalkretsen. På den lågfrekventa delen av bandet görs justeringen med spolkärnan och på den högfrekventa delen med trimkondensatorn. Man börjar med spolen eftersom det är mest sannolikt att dess järnpulverkärna har ändrat induktansens värde, trimkondensatorer flyttar sig inte av sig själva. Ibland finns på skalglaset trimfrekvenserna märkta med prickar.

När den tekniska delen av restaureringen är klar kan chassiet monteras i sin låda. Sedan återstår kosmetiken men den går jag inte in på. Riktiga radiosamlare rynkar på näsan åt mina kondensatorbyten, de ersätter i möjligaste mån med komponenter från samma tid som radion och om sådana inte står att finna stoppar de in en modern komponent innanför höljet till den gamla så att bytet inte syns. Jag nöjer mig med att radion fungerar oklanderligt och för att få reda på det mäter jag prestanda med både signalgenerator och tongenerator. En direkt jämförelse med en likvärdig radio från samma tid brukar visa om något behöver åtgärdas ytterligare.

Här återges i pdf-fil servicetips som är hämtade ur en publikation från AGA på 1940-talet: Service-tips
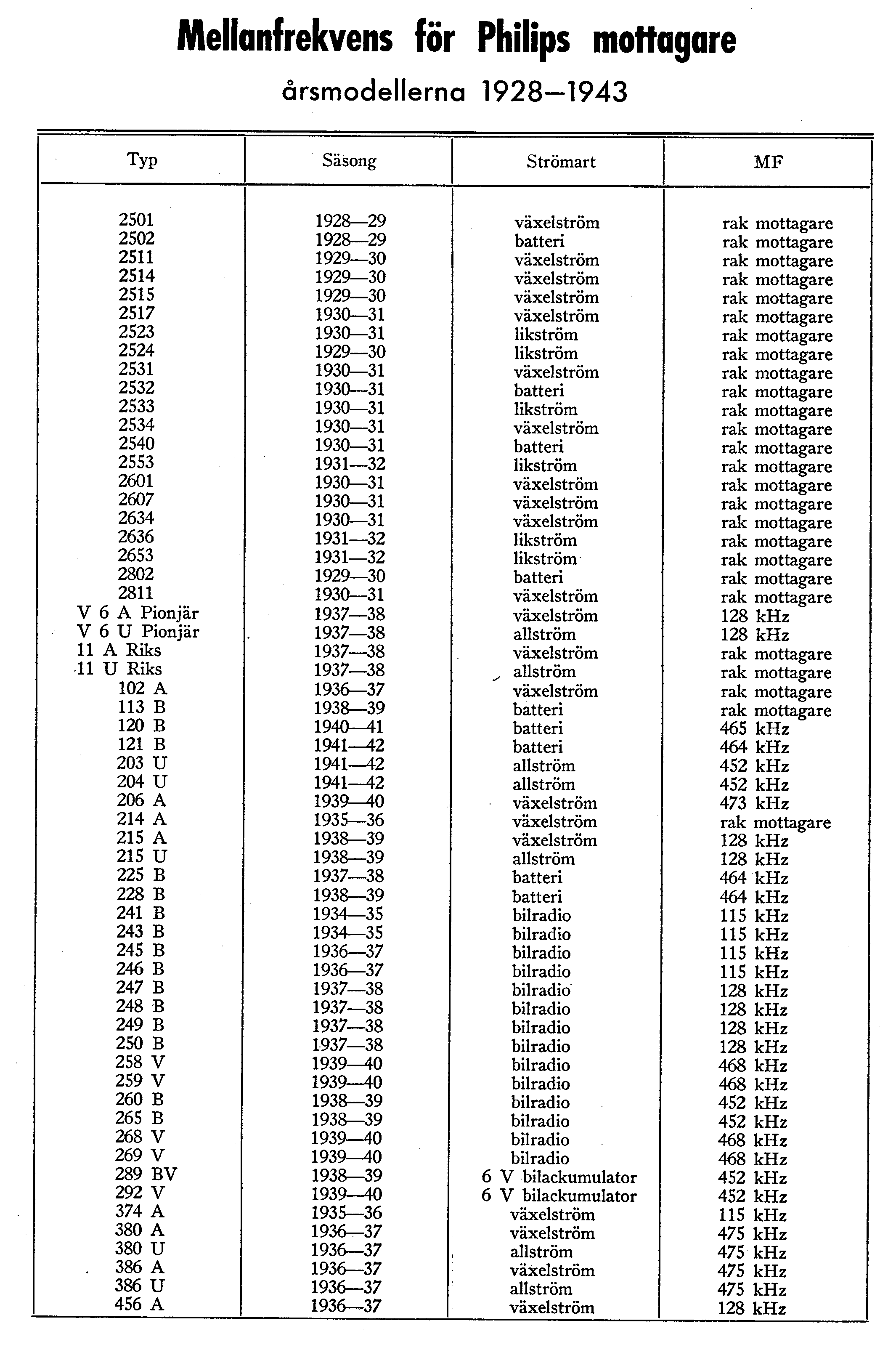
Här finns mellanfrekvenser för gamla Philipsapparater: del 1, del 2, del 3

Åter till startsidan