La antena de cuadro o "Magnetic Loop"
Por: Hugo Martinez (LU9DR) y
Miguel R. Ghezzi (LU6ETJ)
SOLVEGJ Comunicaciones
Tiempo después de haber escrito el artículo sobre las antenas de cuadro, estaba paseando en bicicleta con mi esposa, Lucy, LU7DPH, por una hermosa zona residencial de la vecina localidad de Moreno; al mirar hacia arriba para disfrutar del arbolado paisaje me llamó la atención una antena direccional realizada con deltas. Cuando me acerqué para verla mejor no pude dejar de advertir la hermosa antena magnética montada sobre el techo del chalet. De inmediato decidí golpear las puertas del aficionado que indudablemente moraba debajo de esa antena. Pregunté a una bonita señora por el dueño de casa y ella me señaló a un hombre que estaba en la esquina recogiendo las hojas del Otoño, quien se acercó para ver de qué se trataba. Me presenté y así es como conocí por segunda vez al Sr. Hugo Martinez, la LU9DR. Digo segunda vez pues él, que evidentemente tiene una memoria más joven, recordaba un ya añoso encuentro anterior.
Por supuesto me interesé por su antena, habida cuenta de que yo no había realizado prácticas con esas antenas. Así retomamos una amistad que se va consolidando con el tiempo y eso me permitió sugerirle que escribiera su experiencia con la antena para hermanar mi teórico escrito con su concreción, a lo cual accedió de inmediato con el entusiasmo y la buena disposición típica del buen radioaficionado para compartir su conocimiento con los demás colegas.
El texto teórico original se encuentra inmediatamente debajo de estos párrafos y la descripción de la práctica constructiva de Hugo con fotografías y diagramas puede accederse salteando la teoría haciendo "clíck aquí".
PELIGRO
ADVERTENCIA INICIAL
PELIGRO
Cuando se emplean antenas de cuadro en trasmisión, aun con potencias relativamente bajas, se presentan tensiones peligrosa sobre ella. Instálela lejos del alcance de los niños y trabaje con extremo cuidado al realizar los ajustes. Evite ajustar la antena mientras está excitada.
Las antenas de cuadro son casi tan antiguas como la radio misma. Verlas hoy nos produce un nostálgico y romántico recuerdo. La aparición de la antena de Ferrite hace más de cuatro décadas las relegó el arcón de los recuerdos.
Hace poco tiempo, hallé en la internet un artículo de Kenneth H. Patterson que mencionaba el empleo de estas antenas en sistemas militares, destacando numerosas bondades que despertaron mi curiosidad, (la mayoría del material publicado, está en inglés).
Las sorpresas fueron interesantes y me indujeron a escribir en castellano lo aprendido sobre ellas. No he realizado experiencias personales y este trabajo solamente consiste en material para discusión, análisis y experimentación de los aficionados de habla hispana que puedan estar interesados.
Descripción básica
Una antena de cuadro o "loop" básicamente está constituida por una o más espiras conductoras formando un cuadrado, hexágono, octógono o círculo, con dimensiones físicas que pueden variar desde las pequeñas (en HF) de 30 o 40 cm de diámetro, hasta las "mayores" de varios metros, según la frecuencia y el rendimiento esperado. La inductancia de la/s espiras habitualmente se sintoniza con un capacitor variable y ella/s se acopla/n a la línea de trasmisión mediante un eslabón (como se muestra en la figura) o mediante un acoplamiento capacitivo.

Primero es lo primero...
Suelo afirmar que no existe
"la mejor antena", pero si puede existir
la mejor antena para un juego de condiciones dadas, y no ha de ser esta la excepción...
No tiene mayor sentido comparar o discutir antenas sin hacer esta salvedad fundamental. Muchos coincidirán en que una antena Yagi con un botalón de tres longitudes de onda y catorce elementos es una muy buena antena, pero para llevar con el handie en la cintura me resulta mejor la "colita de chancho".
La antena de cuadro o "Magnetic loop" es una antena que presumiblemente se destacará sobre sus hermanas cuando se presenten las siguientes condiciones:
- No se puede emplazar un dipolo de 1/2 l a una altura mínima adecuada (más de 0,15 l).
- No haya espacio suficiente o puntos fijos donde afirmar los extremos de un dipolo de 1/2 onda.
- No haya espacio suficiente para instalar el sistema de radiales de una vertical de cuarto de onda o ligeramente acortada mediante bobinas de carga o cargas "lineales".
- No puede aceptarse la baja irradiación hacia los ángulos elevados propia de una vertical y que favorecen los comunicados locales véa refracción en la ionósfera.
- Cuando la portabilidad y rápida instalación es una característica deseable.
- Cuando en las anteriores condiciones resulte necesaria una antena "de banda corrida" fácilmente ajustable. (Note que no dice "banda ancha")
Lo dicho muestra que sería una antena competitiva cuando haya una gran restricción de espacio y/o altura. Podría ser, quizás, la mejor opción para quien desee operar en bandas bajas en sus salidas de camping.
La antena es principalmente útil en las frecuencias más bajas de HF pues en las más altas es fácil cumplir con los requisitos necesarios para un dipolo o una vertical convencional. Podría ser la solución para un viajante que deseara operar su estación desde la habitación del hotel en las bandas más altas ya que puede emplazarse fácilmente dentro del cuarto o sobre una ventana o balcón.
Su altísimo Q la hace una excelente antena en presencia de señales intensas en las cercanías tanto en frecuencia como en geografía, contribuyendo eficazmente a eliminar problemas de modulación cruzada. Especialmente interesante para emplear con receptores de conversión directa.
Sus desventajas...
El principal inconveniente de la antena loop radica en su reducidísimo ancha de banda operativo por lo que requiere resintonía de su capacitor de ajuste cuando se cambia la frecuencia y probablemente convenga algún sistema motorizado para ese efecto si se monta alejada del trasmisor. Si es posible resintonizarla rápidamente esta desventaja deja de ser importante (como deja de ser importante el hecho de tener que rotar una direccional) y la sintonía continua a lo largo de un amplio espectro pasa a ser una gran ventaja.
Es una antena poco dispuesta a aceptar potencias importantes pues su altísimo Q hace necesario que el capacitor de sintonía sea de una aislación excepcionalmente alta. 100 watts ya representan un pequeño desafío...
No puede construirse desprolijamente. Es importante que su construcción mecánica sea muy cuidadosa desde el punto de vista eléctrico, de lo contrario el rendimiento puede caer a valores inaceptables...
Algunos Porqué...
La antena de cuadro, cuando se monta con el plano de su superficie de manera vertical, es una antena de polarización vertical (redundancia aparte).
La reflexión en tierra del campo irradiado por una antena de polarización horizontal se halla prácticamente en contrafase con el campo generado por la antena, de allí que ambos campos tiendan a cancelarse mutuamente, por eso, cuando la altura del dipolo horizontal es muy baja, esta cancelación reduce drásticamente el campo total. De hecho si el dipolo estuviera sobre un plano de tierra perfectamente conductor y apoyado sobre el mismo, no se irradiaría absolutamente ninguna energía al éter.
Cuando la antena es de polarización vertical, por el contrario, la reflexión en tierra está aproximadamente en fase con la producida por la antena y por lo tanto los campos se suman. Esta propiedad es fundamental para nuestro propósito porque permite instalarla a muy baja altura sin pérdidas de importancia. Lo mismo puede decirse de cualquier antena vertical, pero una convencional requiere un adecuado plano de tierra para formar la antena imagen y un "adecuado plano de tierra" no consiste simplemente en tres o cuatro radiales de un cuarto de onda.
La antena de cuadro no requiere de los planos de tierra en absoluto y esta es su principal ventaja sobre una vertical común.
El rendimiento de la loop
Toda antena tiene un rendimiento, es decir una medida de cuánta energía de la que recibe del trasmisor puede transferir hacia el espacio lejano en relación a la energía perdida en el proceso. El rendimiento se calcula teniendo en cuenta su resistencia de radiación respecto de su resistencia de pérdidas totales. La resistencia de pérdidas se asocia normalmente a las producidas en los conductores y dieléctricos de la propia antena así como aquellos que la rodean, particularmente la tierra en las verticales que se apoyan sobre la misma o que se montan en estaciones móviles de HF. Para un tratamiento del tema del rendimiento ver Ghezzi "
Esa antena no es tan difícil" en esta misma web.
En una antena loop las pérdidas dependen principalmente de las resistivas que produce el conductor que la forma y también las de su capacitor de sintonía.
Lo interesante es que con una antena loop de unos 3 m de diámetro se podría lograr en la banda de 40 m un rendimiento similar al de un dipolo, cuidando las pérdidas mencionadas. Esto no es poco decir, especialmente si consideramos que puede instalársela a muy baja altura sin que pierda sus buenas propiedades.
Resolver el problema de las pérdidas resistivas pasa fundamentalmente por el empleo de un material que sea muy buen conductor eléctrico y con un diámetro cercano o mayor a los 25 - 30 mm. El Cobre será nuestra primera consideración y el Aluminio ya comienza a ser considerado "una solución de compromiso".
Las uniones, si las hay, tienen que ser eléctricamente perfectas, preferentemente soldadas (y más preferentemente soldadas con plata) y las conexiones al capacitor variable mediante cinta o tubo aplastado. Para disminuir las pérdidas se recomienda emplear un variable tipo "mariposa", ya veremos luego el porqué.
Si la antena ha de emplearse en recepción solamente su realización no será tan exigente porque en las bandas bajas, habitualmente será el ruido atmosférico el que límite la recepción de una estación débil y una pérdida de 10 o 15 dB no será tan importante. En este caso pueden llegar a emplearse materiales más livianos y el capacitor de ajuste puede ser uno cualquiera de baja aislación y pocas pérdidas.
Es una antena que instalada a muy baja altura tiene un diagrama de radiación tal que la energía se irradia principalmente en ángulos altos por lo que resulta especialmente recomendable para los comunicados locales (antenas tipo NVIS , Near Vertical Incidence Skywave o "cloud burner", como la llaman los norteamericanos).
Alto Q, muy alto Q...
El cuadro es un circuito resonante serie, puesto que para que su rendimiento sea elevado las pérdidas resistivas han de reducirse a un mínimo, el Q resultante es muy alto, esto no solo estrecha la banda en la que se puede operar para una determinada posición del variable de sintonía, sino que, puesto que en un circuito sintonizado serie la tensión sobre el capacitor es Q veces la tensión aplicada al circuito, esta tensión llega a ser muy alta y, para potencias del orden de los cien Watts, ya alcanzan el orden de los miles de Volts.
Algo de teoría, para fundamentarse...
La resistencia de radiación de un loop puede conocerse mediante:
ec-1
Donde:
- N = Número de espiras del loop.
- D = Diámetro del loop en las mismas unidades que l.
Si imaginamos un cuadro de 1 espira de 1 m de diámetro para una frecuencia de 7 MHz
(l = 42,85m), la ecuación nos da:
RR = 0,0057 Ohm
Realmente esta una resistencia de radiación muy baja para los valores a que estamos acostumbrados. Entonces, para que el rendimiento de esta antena sea adecuado, su resistencia de pérdidas ha de ser necesariamente muy baja también...
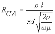
Para conocer las pérdidas resistivas del cuadro habrá que considerar el efecto pelicular pues la resistencia en RF del conductor es bastante mayor que la resistencia en corriente continua. La fórmula que permite calcularla es:
(ec- 2) donde:
- RCA = Resistencia en corriente alterna.
- r = Resistividad del conductor (Cobre = 1,7 x 10-8 Ohms/m).
- m = Permeabilidad del conductor (Cobre = 4 x Pi x 10-7).
- w = Pulsación = 2 x p x f (f en Hz).
- l = Longitud del conductor en metros.
- d = Diámetro del conductor en metros.
Una vez conocida la resistencia en corriente alterna de nuestro loop la consideraremos nuestra resistencia de pérdidas principal. Podríamos considerar algo de resistencia de pérdidas por proximidad a tierra, pero son de poca importancia y con un capacitor de sintonía tipo mariposa con dieléctrico de aire también serán poco importantes las del capacitor. La eficiencia de la antena se calcula del modo tradicional a saber:
RR x 100
Ef = ----------- (ec-3) donde:
RR + RP
- Ef = Eficiencia expresada en porcentaje.
- RR = Resistencia de radiación calculada con la ec-1.
- RP = Resistencia de pérdidas totales, en nuestro caso la de radiación más las resistivas calculadas con la ec-2.
Una primera aproximación...
Supongamos que deseamos un cuadro circular para la banda de 40 m. Probemos qué sucede con uno de 2 m de diámetro y 20 mm de sección de conductor.
- Mediante la ec-1 obtenemos que la resistencia de radiación es: 0,0910 Ohms
- Mediante la ec-2 obtenemos la resistencia en corriente alterna: 0,0692 Ohms
- Mediante la ec-3 obtenemos el rendimiento: 56,8 %
Nada mal para una antenita de solamente DOS METROS DE DIAMETRO...!
Vemos que apenas está unos 3 dB por debajo de una antena de máximo rendimiento.
Si ahora realizamos los cálculos para la banda de 80 m con la misma antena obtenemos:
- Mediante la ec-1 obtenemos que la Resistencia de radiación es: 0,0057 Ohms
- Mediante la ec-2 obtenemos la resistencia en corriente alterna: 0,0049 Ohms
- Mediante la ec-3 obtenemos el rendimiento: 10,4 %
Ya no es tan bueno pues representa una disminución próxima a los 10 dB por debajo de una antena eficiente. Para el caso es como si operáramos nuestro trasmisor de 100 W con solo 10 W, pero muchos amigos podrán contarle los buenos comunicados que se logran con un viejo Yaesu FT-7 o un transversor SOLVEGJ...
¿Que tal si nos estiramos un poco para ver si podemos lograr un mejor rendimiento en 80?. Aumentamos el diámetro del loop a 3 m y el del tubo a 38,1 mm (1 1/4"). Entonces en 80 m:
- Con la ec-1 obtenemos que la Resistencia de radiación es: 0,0289 Ohms
- Con la ec-2 obtenemos la resistencia en corriente alterna: 0,0388 Ohms
- Con la ec-3 obtenemos el rendimiento: 42,7 %
Parece que hemos logrado casi alcanzar en 80 la eficiencia de la anterior en 40 ¿Cuánto rendirá este modelo en 40 m? Veamos...
- Con la ec-1 obtenemos que la Resistencia de radiación es = 0,4617 Ohms
- Con la ec-2 obtenemos la resistencia en corriente alterna = 0,0548 Ohms
- Con la ec-3 obtenemos el rendimiento = 89,4 %
Los primeros resultados parecen muy alentadores y aunque no hemos considerado alguna pérdida adicional por proximidad a tierra sabemos que estas no deteriorarán muy significativamente la performance.
Prosiguiendo la investigación...
Luego de este recreo para
"probar a ver que pasa" debemos afilar la punta al lápiz un poco más.
En el diseño del cuadro habrá que tener en cuenta varios factores: su inductancia, su Q, su capacidad distribuida, etc. Por ejemplo, para que pueda sintonizarse mediante un capacitor, evidentemente el cuadro deberá ser inductivo a la frecuencia de trabajo, esto limitará su tamaño, pero justamente esta es una ventaja que deseamos aprovechar. Como regla práctica se calcula de manera que su perímetro no exceda 1/4 l. a la frecuencia de trabajo más alta y de allí se obtiene, su diámetro (o diagonal). Veamos un ejemplo:
¿Cuál será el máximo diámetro para un cuadro circular de una espira destinado a operar en la banda de 40 m e inferiores de acuerdo a esta regla?
1/4 l. a 7,5 MHz = 10 m
Diámetro = 10 m / p = 3,18 m
Inductancia y capacidad distribuida del cuadro
Con diámetros muy grandes, en general la inductancia del cuadro será tal, que no será posible sintonizarlo mediante un capacitor variable debido a la capacidad distribuida, ahora bien, ¿cómo podemos conocer la inductancia del loop?. Existen fórmulas aproximadas para inductores circulares de una espira, por ejemplo:
L[mHy] = 0,2 * P * [ln (4000 * P/d) - 2,451]
En nuestros ejemplos anteriores: La de 2 m y 20 mm 5,9 mHy; la de 3 m y 38,1 mm, 8,4 mHy.
Para hallar la capacidad distribuida empleamos:
C [pF] = 2,7 x P
Donde
P = Perímetro de la espira medido a través del centro del conductor en metros; d = diámetro del conductor en mm.
En nuestros ejemplos anteriores: La de 2 m de diámetro del cuadro y 20 mm de diámetro del caño => 16,96 pF; la de 3 m y 38,1 mm respectivamente => 25,44 pF
Calculando la capacidad de sintonía
Habiendo obtenido la inductancia del cuadro es muy fácil calcular la capacidad mínima necesaria para la frecuencia de operación más baja.
C = 1.000.000 / 4 p2 f2 L C en pF, f en MHz, L en mHy
Para el cuadro de 2 m obtenemos reemplazando...
C = 1.000.000 / 4 p2 72 MHz 5.9 mHy = 87,6 pF
Un capacitor de 100 pF más la capacidad distribuida, aseguran la sintonía del cuadro...
Q del cuadro
El Q es necesario no solamente para conocer el ancho de banda de la antena, sino también otro valor fundamental:
La tensión que deberá ser capaz de manejar el capacitor de sintonía de acuerdo a la potencia aplicada. El Q surge de la definición tradicional:
Q = X L/R, siendo XL = 2 p f L
Q = 2 p f L / Rt, donde Rt es la resistencia total, es decir la de radiación más la de pérdidas.
Como ejemplo calculemos el Q del cuadro de 2 m en 40 m:
Q = (2 p f L) / Rt (con f en MHz, L en m Hy y R en W)
Q = (2 x 3,14 x 7 MHz x 8,381 mHy) / (0,0910W+ 0,0692W )
Q = 2.300
El ancho de banda se calcula también del modo tradicional. Recordando que Q = f/Df, entonces => Df = f/Q
Df = f/Q = 7 x 106 Hz / 2.300 = 3.043 Hz
Df = 3.043 Hz
Nótese el extremadamente pequeño ancho de banda que apenas supera los 3 KHz entre los puntos de -3 dB y que nos indica la necesidad de una resintonía imprescindible al desplazarnos de frecuencia. También podemos ver que puede ser una solución excelente para un receptor de conversión directa afectado por la recepción indeseada de estaciones de AM muy intensas o un receptor susceptible a problemas de modulación cruzada. Es posible que en estas condiciones la misma antena recorte parte del espectro de una señal de AM.
Capacitor de sintonía
El capacitor de sintonía requiere una cuidadosa consideración. El mismo estará sujeto a tensiones de RF
muy elevadas aun con potencias menores.
El capacitor preferido (dentro de los comunes) será uno de los denominados "mariposa", se lo emplea conectando los extremos del cuadro a cada uno de los estatores. En caso de emplear un capacitor de estator dividido, también habrá que emplearlo conectando al loop los estatores con lo que su capacidad útil se reduce a la mitad.
Lo que no debe hacerse es emplear el capacitor con el juego de placas fijas a un extremo del loop y el de las móviles al otro, porque el sistema de rozamiento que efectúa la conexión con las placas móviles introducirá pérdidas inaceptables. Una posibilidad, si la construcción lo permite, sería conectar el juego de placas móviles mediante una sólida malla soldada que sustituya al sistema de rozamiento.
También puede emplearse satisfactoriamente un trombón simple o doble. Un capacitor al vacío permitirá manejar elevadas potencias con mucha comodidad.
Capacitor de sintonía
La tensión que aparece sobre el capacitor en resonancia se calcula mediante:
_______
V = 0,000001 Ö P XL Q con P en Watts, XL en Ohms y C en pF
recordando que
XL = 2 p f L = 2 x 3,14 x 7 MHz x 5,9 mHy = 260 W entonces
____________________
V = Ö 100 W x 260 W x 2.300 = 7.733 Vrms
Vemos que aun para potencias moderadas la tensión sobre el capacitor es muy grande (y peligrosa).
La aislación de un capacitor de placas planas con dieléctrico de aire, ronda en unos 1.500 Vrms/mm, de esta manera la separación necesaria estará en: 7.733 / 1.500 = 5,2 mm o más. Los bordes de las chapas deben ser redondeados (sin filo ni rebabas) y las mismas han de ser bien pulidas para evitar puntos que podrían dar inicio a una descarga corona.
Detalles constructivos
El eslabón de acoplamiento tiene un diámetro que será aproximadamente 1/5 a 1/6 del diámetro del loop para una correcta adaptación a una línea de 50 Ohms.
Diagrama de radiación
El siguiente diagrama de radiación tridimensional corresponde a un loop de 1m x 1m, cuadrado, cuya base se halla a 1 m del suelo, considerando un terreno de conductividad media. El mismo se obtuvo mediante un motor NEC2. Nótese que la directividad es notable en los ángulos de radiación bajos (el ombligo que se observa abajo a la derecha).

Bibliografía consultada:
Manual del Radio Ingeniero. Frederick E. Terman. Editorial HASA. Edición. 1.947
Practical Experiments with Magnetic Loop antennas. David Reid PA3HBB / G0BZF
http://www.qsl.net/pa3hbb/magloop2.htm
Mis experiencias con el loop magnético, por LU9DR
A comienzo del año 1.998 incursioné por primera vez con el loop magnético, en esa oportunidad fue de 3,20 m de diámetro, monobanda para 40 m y solamente para recepción, (el capacitor utilizado no era el adecuado para transmisión). El resultado me llamó la atención, pues se notaba bastante mas silenciosa que el dipolo que uso habitualmente y también la gran atenuación de costado, aproximadamente 20 dB. La antena solo duró unas semanas pues el mástil que la soportaba que era de madera comenzó a doblarse y terminó en el suelo; así que allí terminó la prueba. Esto fue suficiente para que me planteara construir otro loop con todas las de la ley.
Características
El loop magnético es un lazo de tamaño pequeño, sintonizable, de un elevado Q, muy baja resistencia de radiación (dependiendo del material empleado, diámetro del caño, diámetro del loop), con la particularidad de captar mayoritariamente la componente magnética de la señal, (al contrario de lo que ocurre con la mayoría de las conocidas, dipolos deltas, etc. que son llamadas eléctricas), supongo que por este motivo es algo mas silenciosa, también noté que los ruidos atmosféricos (estáticos) tienen menor intensidad, tal vez sea por la baja altura, no lo se. Se puede instalar en forma vertical u horizontalmente (en esta última no hice ninguna prueba, por ahora ). Al parecer ella capta señales desde diversos ángulos de entrada. Otra condición que presenta es su gran atenuación de costado, aproximadamente 20 dB (esta si, fehacientemente comprobada), lo cual resulta interesante a la hora de disminuir señales interferentes), hay que decir aquí que los ménimos son perpendiculares al plano del loop, (a la inversa de los loop de onda completa) por lo cual agrega otra variante, poder girarla. Otra característica muy importante es que trabaja bien a baja altura (en mi caso a 3 m del piso). Colocada en forma horizontal, el ángulo de entrada es dependiente de la altura (Como resulta con los dipolos versus la frecuencia.
Descripción
El loop que describo, actualmente en uso y el tercero que llevo construido (todos de diferentes tamaños: 3,20 m, 2 m, y 1,50 m de diámetro). Es un aro de caño de aluminio (yo use cable coaxil de red de video de 3/4" de diámetro ) de 2 m de diámetro (aquí debo aclarar que cuanto mas grueso sea el caño mejor resultará pues debemos disminuir la resistencia óhmica para mantener la eficiencia (entiéndase esta, como potencia aplicada, potencia irradiada), está acoplado en sus extremos a un capacitor variable del tipo mariposa (construido artesanalmente) el cual tiene adosado un moto reductor que controlo desde mi lugar de operación (yo use un reductor común de los utilizados en los platos giratorios de los hornos de microondas domésticos, los ventiladores que tienen deflector giratorio, las esferas espejadas, etc. a este lo acoplé a un motor de radio grabador, para usarlo con baja tensión). El loop de acoplamiento, tiene 40 cm de diámetro y esta hecho de cable coaxil RG 213 que continúa hasta el equipo. El loop esta soportado por un mástil de madera dura (palo blanco pintado con pintura epoxi) de 30 mm de diámetro, en la parte superior está el soporte y alojamiento del conjunto capacitor - moto reductor que lo protege de la intemperie.

Capacitor de sintonía
Este elemento es vital, para que el loop pueda ser eficiente, la construcción fue entretenida, solo con un poco de trabajo. Partiendo del valor necesario de capacidad que mi loop de 2 m de diámetro requería, (mínimo 15 pF, máximo 85 pF). Para cubrir la gama de frecuencias desde 14,4 MHz hasta 7 MHz), aquí tengo que decir que todos los cálculos, (capacidad, diámetro del loop principal, loop de acoplamiento, eficiencia, tensiones, corrientes, impedancia, resistencia de pérdida), fueron realizados con el programa de computación, MLOOP31 (disponible en varios sitios de internet) el cual resulta práctico y eficiente (estos cálculos también pueden ser hechos manualmente mediante formulas matemáticas). Para la construcción partí de las medidas ofrecidas en la web. Por ON4ANQ, aunque luego sufrieron una pequeña modificación, (respetando las relaciones de medidas, lo hice algo mas pequeño), luego me hice de el material (chapa de aluminio, varillas roscadas, tuercas, arandelas, acrílico) y luego de unos días estuvo listo. El resultado fue un hermoso capacitor variable tipo mariposa, con muy buena aislación y además: hecho en casa.


Sintonía y ajuste
La sintonía del loop es muy simple, en principio debemos colocar un medidor de ROE como en cualquier otra antena, aplicamos baja potencia con nuestro equipo, (5 W) y luego por medio del control remoto del capacitor sintonizamos el loop en una determinada frecuencia, viendo en el medidor la disminución de la onda reflejada, si esta no es de 1:1 como nos gusta a todos los aficionados, solo bastará con mover, retocar o modificar la figura geométrica del loop de acoplamiento (loop pequeño), hasta que este valor sea el mas bajo posible, entonces estará listo para recibir y transmitir. El ancho de banda es de aproximadamente: 15 KHz (40 m), 22 KHz. (30 m) y 90 KHz (20 m), considerando una ROE menor que 2:1.


Resultados
Los primeros ensayos con el loop fueron buenos, tanto en Rx como en Tx; debo decir que todas las pruebas fueron hechas con la antena instalada en forma vertical y a 3,50 m de altura. Los primeros reportajes que recibí fueron locales, LU3EAS, LU5EE. LW9DHR, LU7DEC, y todos coincidían en que el loop estaba 10 dB por arriba del dipolo de referencia, esto coincidía con lo que yo veía respecto de sus señales, evidentemente se ve que contribuye con ángulos bajos, y aquí me surgió una pregunta, ¿cómo funcionaría el loop en la banda de 160 m?, Como sabemos esta banda presenta características diferentes de propagación.
En media distancia, aproximadamente (100 a 1.500 Km) las comparaciones muestran diferentes matices, por momentos las señales son más fuertes con el loop y en otros con el dipolo, en otras tantas ocasiones no hay diferencia alguna, Oscar de F.L. Beltrán, Río Negro (no recuerdo su distintiva) el 1/5/02 a las 13 hs. en 7.080 me reportó la misma señal con las dos antenas: 5/5, en el mismo momento. Eduardo de Montevideo (CX9DV) me pasaba 5/9 para el loop y 5/9 +10 para el dipolo. Un día después dos amigos CE me daban algo parecido, uno de ellos 5/5 con las dos antenas y el otro, 5/5 para el loop y 5/6 para el dipolo. Ken de Sudáfrica el 30/4/02 a las 03:45 hs. en 7.011 KHz (ZS2BWB) me reportó 559 con las dos antenas, esto ya en CW, VU2PHD desde el sur de la india el 26/7/02 en 7.025 me reportó 569 y sus señales por aquí eran de 559, Alex UA0AZ en 14.030 KHz a las 00:59 hs. me reportó 599, el llegaba con la misma señal, PY3PP de Porto Alegre, en 7.022, 599 con las dos antenas (el llegaba con la misma señal). LU1MAT de Godoy Cruz Mendoza en 14.215 KHz a las 18:57 hs. me reportaba 5/7 y según decía Daniel, con una leve diferencia: "el espesor de la aguja del instrumento", a favor del dipolo de 1/2 onda, yo creo que esta es una ligera pintura del comportamiento del loop magnético, tengamos siempre presente que se trata de un loop de 2 m de diámetro, que trabaja en 20, 30 y 40 m.
Conclusión
Creo que el loop magnético es muy eficiente (tomando algunos recaudos) apta para los amigos que no tienen suficiente espacio para instalar un dipolo, es agradable a la vista y funciona perfectamente a baja altura, además, puede cubrir un gran espectro de frecuencias, es posible el uso portátil, de fácil y rápida instalación a ras del suelo. Creo que sería una buena experiencia para aquel que tenga ganas de construir una antena. Suerte.!!!
Volver al inicio del artículo