Análisis de las condiciones de propagación normales en sistemas de F.M.E. -  F.U.E. 

 

El objeto del presente artículo es proporcionar un desarrollo relativamente sencillo, que permita comprender básicamente el comportamiento de los enlaces punto a punto en las bandas de F.M.E. de radioaficionados.

Se pretende analizar la incidencia de diversos factores tales como: Altura de las antenas transmisora y receptora, ganancia de las mismas, potencia de los equipos, etc. para que el radioaficionado pueda evaluar con mayor precisión las medidas técnicas conducentes a la optimización del sistema.

Cabe aclarar que, debido a la gran cantidad de variables en juego, con este modelo simplificado no se espera establecer con exactitud rigurosa las condiciones de propagación del sistema en todas las circunstancias posibles; por este motivo los resultados serán solo una aproximación adecuada. Por otra parte no se intentará tampoco un análisis minucioso que requiera grandes conocimientos previos del tema, pues escaparía al alcance de la mayoría de loa aficionados. Aun así, las conclusiones permitirán obtener resultados satisfactorios en cuanto a precisión y sencillez operativa.

En general se puede afirmar que los factores que incrementan el alcance de un sistema son empíricamente conocidos por la mayoría de los aficionados; se verá que en nuestro intento de cuantificarlos, ellos irán apareciendo naturalmente.

Pare los fines prácticos, bastaría con un sencillo juego de fórmulas y la explicación de su uso pero he creído conveniente no despreciar el aspecto didáctico y demostrar cómo las mismas surgen de sencillos procedimiento deductivos que están al alcance de cualquiera con conocimientos matemáticos del nivel secundario. Buscando y rebuscando en la literatura técnica normal nunca pude encontrar una demostración completa de las fórmulas implicadas, de manera que me pareció interesante recrearlas pues podrían serle de utilidad a algún otro "buscador frustrado"...

1) ALCANCE DE LA LINEA DE LA VISUAL

Teniendo en cuenta la esfericidad de la tierra, se puede calcular la distancia en línea recta entre dos puntos elevados sobre el terreno, imaginándola una esfera totalmente lisa, es decir exenta de irregularidades. Tal esfera resulta de suponer que el planeta tiene toda su superficie al nivel del mar. A tal cuerpo imaginario se lo denomina "geoide" (en realidad el geoide no determina una esfera perfecta dado que el radio del planeta es ligeramente mayor en el ecuador que en los polos; tal ensanchamiento es de aproximadamente 21,3 Km y es despreciable pare los fines que no ocupan).

Podría pensarse que al suponer a la tierra "lisa" se comete un error importante; en efecto, así sería si no se contara de la altura sobre el nivel del mar de los distintos puntos geográficos, pero afortunadamente se puede encontrar tal información en las sociedades geográficas (en nuestro país, Argentina, el Instituto Geográfico Militar).

De esta manera las alturas que habremos de considerar en los cálculos, serán la de los puntos en cuestión sobre la superficie real, más la altura de los mismos sobre el nivel del mar en el sitio considerado en.

En la fig.1 se ve una vista en corte del geoide; si se traza una línea que sea tangente a la circunferencia y que pase por el extremo superior del punto considerado (la antena en este caso) queda formado un triángulo rectángulo por ejemplo el QAB donde:

__
OA = r1 + h1

siendo: r1 = radio de la tierra;
           h1 = altura de la antena 1;
           h2 = altura de la antena 2

__
AB = distancia del punto hasta el horizonte de ese punto.

Aplicando el teorema de Pitágoras...

       (ec 1-2)

y nos interesa averiguar , entonces reemplazando por los valores reales:

Nótese que el término es despreciable y puede consierarse nulo porque el radio de la tierra es mucho mayor que la altura de la antena.

        (ec 1-3)

Procediendo idénticamente para obtener nos queda:

        (ec 1-4)

La distancia en linea recta entre los puntos A y C que nos interesa será:

·        El radio polar de la tierra es aproximadamente 6.356 Km

·        El radio equatorial de la tierra es aproximadamente 6.377,4 Km

Por lo tanto tomaremos como valor promedio 6367 Km, entonces:

reemplazando en la ecuación (1-5)

Con esta sencilla fórmula se puede conocer la distancia máxima en que dos puntos elevados sobre el terreno pueden verse mutuamente (todas las dimensiones en metros).

Para aplicar esta fórmula a las ondas de radio, son necesarias algunas consideraciones adicionales:

La densidad de la atmósfera disminuye con la altura haciendo que la constante dieléctrica de la misma disminuya en consecuencia y esto hará que también disminuya el índice de refracción (que es proporcional a la raíz cuadrada de la misma).

Esta variación del índice de refracción hace que las ondas de radio sean desviadas desde las zonas de baja constante dieléctrica hacia las zonas de alta constante dieléctrica de forma semejante a lo que produce la ionosfera "curvando" la trayectoria de la señal hacia el suelo.
Esto determina que el horizonte efectivo pare las ondas de radio se encuentre normalmente algo más allá del horizonte real (óptico) y, en término medio, todo sucede como si el radio de la tierra fuera aproximadamente un 33% mayor que el radio real (decimos "en término medio", pues la constante dieléctrica está fuertemente determinada por el vapor de agua presente en la atmósfera y su concentración varía con las condiciones meteorológicas. Cabe destacar que el agua tiene un valor elevado de constante dieléctrica), además la presencia de aire caliente por encima de una capa de aire frío (inversión térmica) agudiza el fenómeno notablemente en algunas oportunidadees.

Teniendo en cuenta este efecto podemos escribir:

Esta es una ecuación que convendrá recordar pues es será de importancia en las consideraciones posteriores (todas les dimensiones en metros).

2) INTENSIDAD DEL CAMPO ELECTRICO EN FUNCION DE LA POTENCIA IRRADIADA

Imaginemos una antena perfectamente omnidireccional (llamada radiador isotrópico) en el espacio libre que emite una potencia determinada. Es posible intuir que el campo eléctrico en un punto alejado dependerá de la distancia entre dicho punto y la antena, por un lado, y de la potencia irradiada por otro. Nuestro interés radica en calcularlo, pare ello construimos una esfera imaginaria que contendrá a la antena. Puesto que la antena es omnidireccional, la potencia irradiada se distribuirá uniformemente a lo largo de la superficie de tal esfera imaginaria. La rapidez del flujo de energía (potencia) que pasa por una superficie de área unidad (un metro cuadrado en nuestro sistema de unidades), también llamada "Densidad de potencia", cuando se trata de un frente de onda electromagnético plano se lo puede conocer mediante un ente matemático denominado "Vector de Poynting", así llamada en honor a John H. Poynting (1852-1914) quien creó este modelo. Tal vector se define como:

El valor del vector de obtiene en . Recordemos también que x simboliza la operación "producto vectorial".

En consecuencia la potencia a lo largo de toda la superficie de la esfera será igual al vector de Poynting (que como se dijo la da pare un metro cuadrado) multiplicado por la superficie total de dicha esfera. Además, puesto que dentro de tal esfera se encuentra únicamente la antena considerada, esta potencia deberá ser igual a la potencia irradiada por la misma, entonces:

Siendo la superficie de la esfera 4pr2

reemplazando wpe5.jpg (781 bytes)por (2-1)

wpe6.jpg (2238 bytes)
En una onda electromagnética wpe7.jpg (965 bytes)se relacionan mediante wpe1.jpg (1074 bytes)donde c es la velocidad de la luz.

reemplazando en (2-3):

fmepro23.gif (3719 bytes)

Sabemos que el ángulo formado por wpe7.jpg (965 bytes)es de 900, entonces el ángulo que forma

  wpe8.jpg (4078 bytes)

El producto vectorial puede reemplazarse por un producto simple pues

wpeD.jpg (8652 bytes)

Entonces, reemplazando en (2-4):

wpeE.jpg (3732 bytes)

Puesto que wpeF.jpg (1013 bytes)son constantes, se pueden reemplazar en la ec 2-5 por su valor numérico quedando:

wpe10.jpg (1641 bytes)

 Nótese que al duplicar la potencia, la intensidad de campo aumenta en un 41% aproximadamente y, si para una dada potencia se duplica la distancia, la intensidad de campo disminuye a la mitad; vemos que la intensidad de campo es inversamente proporcional a la distancia.

Se puede ver que, mediante un procedimiento deductivo no demasiado complicado, se ha arribado a una fórmula que permite obtener el valor de la intensidad de campo eléctrico que produce a una distancia dada una antena isotrópica (omnidireccional) que irradia con una potencia conocida.

3) RELACIONES GEOMETRICAS IMPORTANTES

Dadas dos antenas, una trasmisora y otra receptora, ubicadas a cierta distancia, a la receptora le pueden llegar las señales de la trasmisora por varios caminos:

·        La onda directa (rayo r1).

·        La onda reflejada en la tierra (rayo r2).

·        La onda refractada en la ionosfera (rayo r3).

·        La onda terrestre (rayo r4).

De esta cuatro formas principales de propagaci6n y en el espectro que nos interesa (F.M.E. - F.U.E.), se pueden eliminar dos:

·        La onda refractada en la ionosfera, pues tal mecanismo no es frecuente debido a que el índice de refracción de la misma es insuficiente pare devolver la señal a la tierra.

·        La onda terrestre pues las pérdidas en la tierra son muy elevadas a tales frecuencias y la señal es absorbida muy rápidamente.

Por ello solo tomaremos en cuenta lo que sucede con las ondas directa y reflejada en la superficie de la tierra.

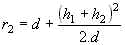
Se puede ver claramente en la fig 3-1 que la distancia que debe recorrer el rayo 1 es más corta que la que debe recorrer el rayo 2, esto implica que las señales que arriban a la antena, normalmente no estarán en fase. Para averiguar esta diferencia de fase se debe hallar cuál es la diferencia de caminos recorridos por los rayos 1 y 2.

Aplicando nuevamente el teorema de Pitágoras al triángulo ABC

Que escribiendo los valores correspondientes queda:

 

Para averiguar la diferencia de fase con que arriban ambas señales dijímos que interesa conocer la diferencia de caminos recorridos por r1 y r2, pero en la forma en que están expresadas las ecuaciones ello se hace algo incómodo por lo cual, sacando factor común d2 dentro de la raíz tenemos:

wpe15.jpg (11135 bytes)

Se puede obtener el valor de r2 mediante aproximaciones utilizando el desarrollo de Taylor

wpe17.jpg (17091 bytes)

wpe18.jpg (4660 bytes)

wpe19.jpg (1715 bytes)(ec 3-3)

del mismo modo

wpe1A.jpg (1686 bytes)(ec 3-4)

de esta forma

wpe5.jpg (7623 bytes)

wpe6.jpg (1457 bytes)(ec 3-5)

Habiendo obtenido una ecuación que permite conocer la diferencia de caminos recorridos para obtener la correspondiente diferencia de fase, nos convendrá referirlos a la longitud de onda.
Si se divide la diferencia de recorridos por la longitud de onda, se obtendrá un valor numérico que nos dirá que proporción de la longitud de onda representa tal diferencia. Por ej. si la longitud de onda es 2m, y la diferencia de recorridos es 0,5m, obviamente tal diferencia será de 0,25 de long. de onda.

Sabiendo que un ciclo completo de la señal barre un ángulo de 360° (2p expresado en radianes), si multiplicamos 2p por la proporción obtenida anteriormente, se arribará al valor deseado de diferencia de fase, en radianes.

wpe7.jpg (6657 bytes)

A la antena receptora, pues, llegan dos señales senoidales con igual frecuencia y distinta fase que se superponen. Falta una última consideración que no se ha tenido en cuenta sobre la cual no profundizaremos aquí y es que, cuando la onda incide sobre la tierra con un ángulo dado sufre un cambio de fase que depende de:

·        La polarización de la onda (si es vertical u horizontal).

·        El ángulo de incidencia.

·        La constante dieléctrica y la conductividad de la tierra.

·        La longitud de onda.

Todos estos factores (que intervienen en el llamado "coeficiente de reflexión"), se combinan de modo tal que, en puntos alejados de la antena trasmisora donde el ángulo de incidencia de la onda sobre la tierra es pequeño, se puede considerar con un error despreciable que la onda se refleja con la misma magnitud (es decir, sin perdida apreciable de energía) y con un desfasaje de 180° (p).

Cabe aclarar, sin embargo, que esto es así solo para antenas polarizadas verticalmente que es el caso que nos interesa, pues es la polarización utilizada más frecuentemente en los sistemas de F.M.E. de aficionados.

Aplicando algunos conocimientos de trigonometría se efectuará la suma de las dos señales para ver que resulta.

Para ángulos pequeños sabemos que sen a » a y esto será válido para d >> h1; h2, que es el caso que nos interesa por razones obvias. Entonces:

El valor de intensidad de campo eficaz resultará de multiplicar Emt x 0,707 resultando:

Hemos arribado a nuestro destino con esta ecuación pues podemos averiguar el valor de intensidad de campo en el extremo receptor en función de las variables normales, vg:

1.     Altura de las antenas respectivas.

2.     Distancia entre las mismas.

3.     Potencia irradiada efectiva. 

Puesto que la potencia efectiva irradiada ya considera la ganancia de la antena tenemos todos los datos necesarios para el cálculo.

4) ALTURA EFECTIVA

La altura efectiva es un concepto que escapa a los alcances de este articulo, pero cuya incidencia en el problema es importante y merece algunos comentarios.

Es un factor que no esta relacionado con la altura física de la antena sino que simplemente es "la relación entre la tensión inducida equivalente concentrada y la intensidad de campo eléctrico que la induce". Se mide en metros y está relacionada con la capacidad que tiene una antena de sustraer energía de una onda viajera electromagnética. Como simple ampliación diremos que:

donde:

l = longitud de onda
G= Ganancia de la antena
R= Resistencia de radiación
q = Angulo entre la polarización de la onda y la de la antena

73's y DX...

Nota: Algunos textos aparecen mal separados en las imágenes con las fórmulas. Cosas del Editor de ecuaciones que trae Office...