A Long Quantum Mechanics Problem

Back Home
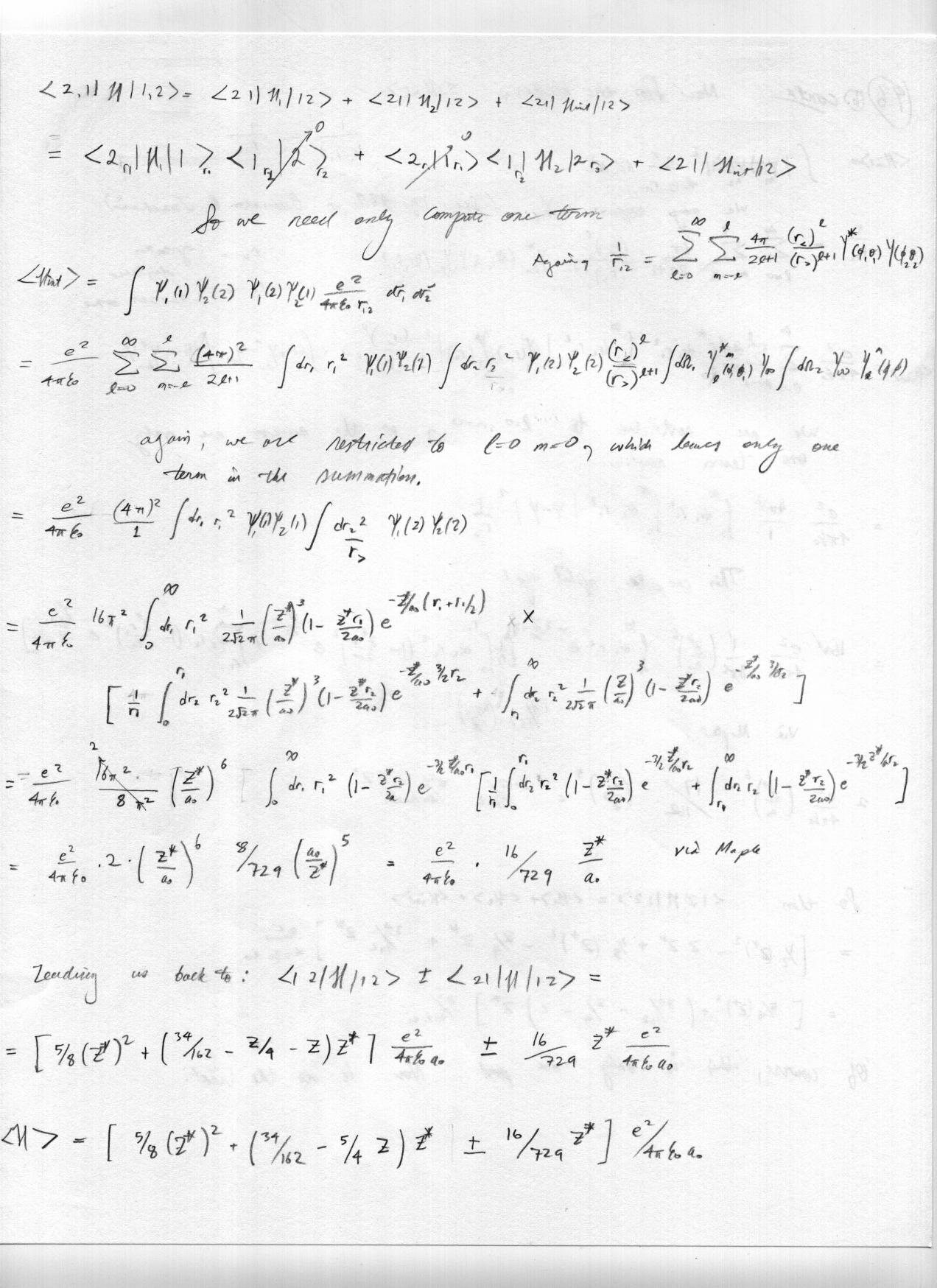
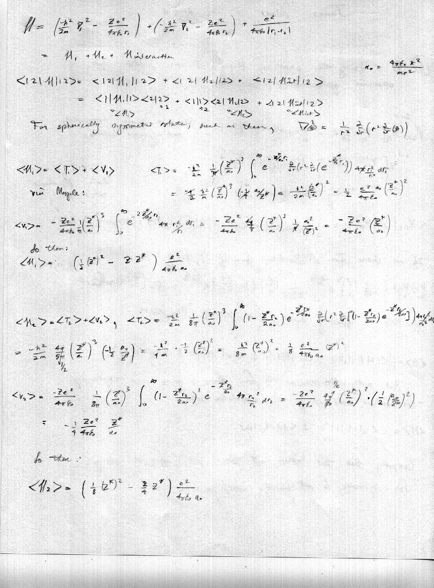
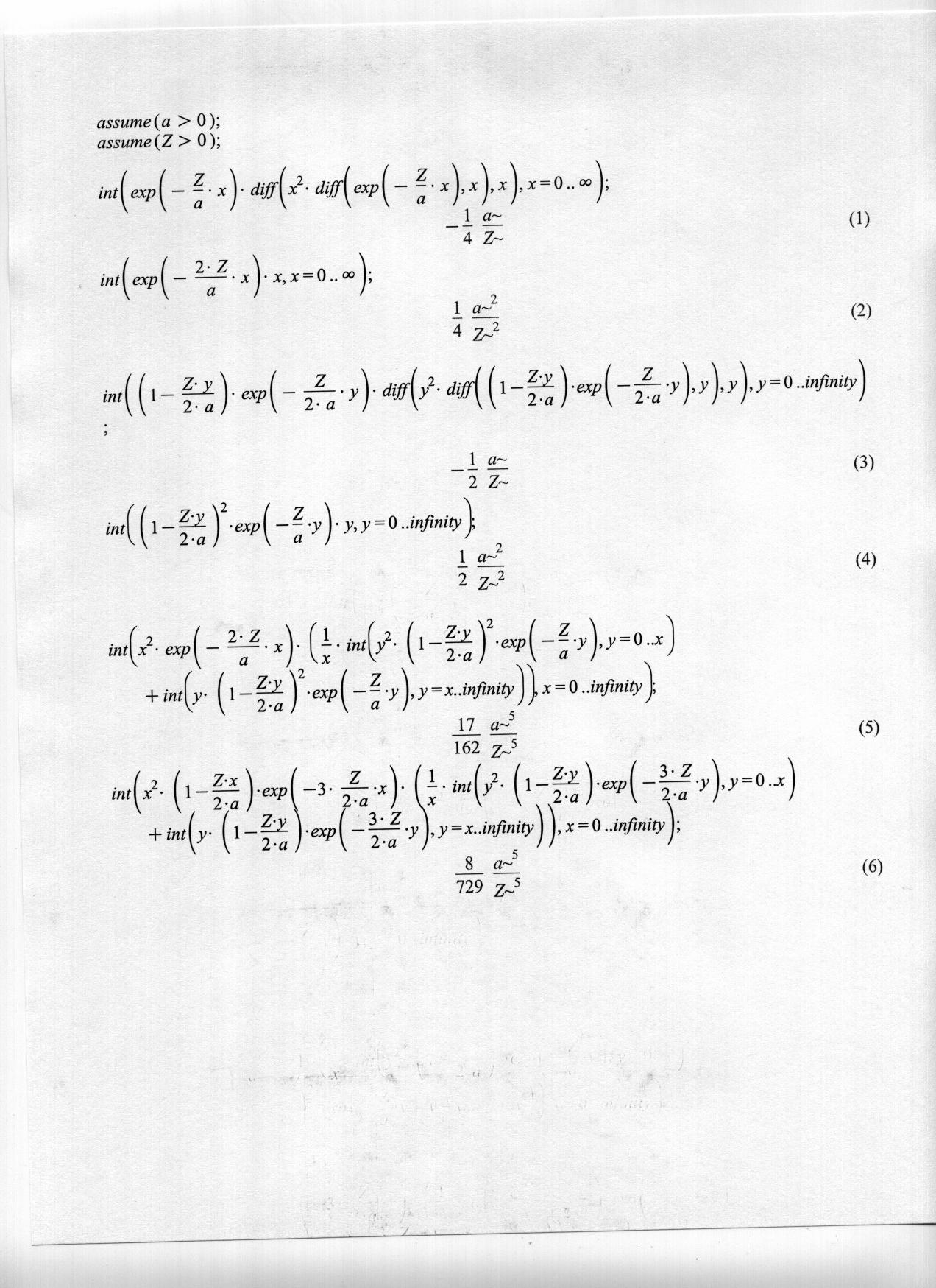
For my quantum mechanics class I was asked to estimate the energy of the first excited state of helium. If you right click on the images and open them in a new window or tab you can read the calculations in detail.