Z |
Feldlinien um den Hertzschen Dipol |
|
|
|
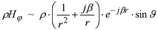
Diese Darstellung zeigt die E-Feldlinien
eines Hertzschen Dipols im Ursprung des Koordinatensystems. Die
Feldlinien sind Höhenlinien von Die günen Kringel (o) markieren dabei die Nulldurchgänge auf der X-Achse und die roten Kreuze (+) die Maxima bzw. Minima des Gebirges entlang der X-Achse. |
|
|
|
|
X |