|
Traps with Toroidal Coils |
Traps with Toroidal Coils
|
In the range up to 150 Wtts RF Traps with toroid-coils are simple to build and to tune. A problem could be the parallel capacitor for high Voltage. Experiments show in a load-test that a Voltage of 2-2,5 KV for the C is sufficient for proper working. If you cannot get such capacitors you can use 4-5 C's with 500 V in series. In a test 3 x 100 pF/500 V in a 10-m-trap could handle 100 Wtts. For the tests I used the toroid-types T94-6, T94-2 and T106-2. The table shows the calculated number of turns, in practice the real number is a little bit lower (nice for tuning...). |
![]() |
The example shows a toroidal trap.
9 1/2 turns of 1,5-mm-CuL and 3x100 pF/500 V in series gives a renonant frequency of 28,4 MHz. This trap handles 100 W RF, but better is a voltage of 2 - 2,5 KV for the capacitor. |
![]() |
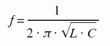
For the calculating we need the Thomson-formula f (Frequency) in Hertz, L (Inductance) in Henry, C (Capacity) in Farad |
|
We need f in MHz, L in uH and C in pF Here are the modified formula for our purposes: |
![]() |
![]() |
The AL is a specification of the toroid and gives the Inductance/100 turns in uH on the core. N means the number of the turns. |
The calculated number of turns for the Amateur-bands
|
Band |
Inductivity |
Capacity |
Toroid |
Turns |
|
10 m |
0,95 uH |
33 pF |
T94-6 (yellow) |
11
1,5-mm-CuL |
|
12 m |
0,78 uH |
47 pF |
T94-6 (yellow) |
10
1,5-mm-CuL |
|
15 m |
1,2 uH |
47 pF |
T94-6 (yellow) |
13
1,0-mm-CuL |
|
17 m |
1,65 uH |
47 pF |
T94-6 (yellow) |
15
1,0-mm-CuL |
|
20 m |
1,85 uH |
68 pF |
T94-6 (yellow) |
16
1,0-mm-CuL |
|
30 m |
2,47 uH |
100 pF |
T94-2
(red) |
17,5
1,0-mm-CuL |
|
40 m |
5,1 uH |
100 pF |
T94-2
(red) |
24,5
1,0-mm-CuL |
|
80
m CW |
10,05 uH |
200 pF |
T106-2
(red) |
27
1,0-mm-CuL |
|
80
m SSB |
9,25 uH |
200 pF |
T106-2
(red) |
26
1,0-mm-CuL |
|
|
|
|
16 1/2 turns close spaced give an inductivity of 2,8 uH |
16 1/2 turns wide spaced give an inductivity of 2,5 uH |
| The upper picture show how the inductivity can be influenced by
changing the distance between the turns of the coil. Closer turns give a
higher inductivity, wider a lower. Tuning is no problem!
But how can we measure the frequency of a toroidal trap? Look for the DK7ZB-method as described on the other page::
|
![]() |
Here the complete trap for 10,12 MHz:
16 1/2 turns on a T96-2 (red) and a capacitor 100 pF, 7 KV |